通过无线信道传播的信号沿着大量不同的路径到达目的地,这些不同路径称为多径。图 1 是一位沿公路驾车的典型移动用户的图形。该图描述了从发射机到接收机的众多信号路径中的三条。这些路径源自环境中物体对辐射能的散射、反射和衍射或者媒介中的折射。各种传播机制对路径损耗和衰落模型产生不同的影响。
图 1. 典型的多径衰落现象。
接收信号的功率会因为三种效应而发生变化: 平均传播 (路径) 损耗、宏观 (大型或 "缓慢") 衰落和微观 (小型或 "快速") 衰落,如图 2 中所示。平均传播损耗与距离有关,由水、植物的吸收以及地面的反射效应产生。宏观衰落是由于建筑物和自然地物的阴影效应所产生的。微观衰落是由于多径的相长、相消组合所产生,由于微观衰落的幅度波动快于宏观衰落的幅度波动,所以也将其称为快衰落。
图 2. 无线信道中的信号功率随距离的变化。
多径传播会导致信号随着时间的推移而扩展,这些时间时延或 "时延扩展" 导致频率选择性衰落。多径的特征由信道脉冲响应来描述,使用抽头时延线实现方式为多径建模。抽头变化的特征用多普勒频谱来描述。除了时延扩展和多普勒展宽之外,角度扩展是无线信道的另一个重要特性。接收机端的角度扩展是指在接收天线阵列处多径组件到达角的展宽。与此类似,发射机端的角度扩展是指这些最终到达接收机的多径信号离开角的扩展。角度扩展会导致空间选择性衰落,这意味着信号幅度会依赖于发射天线与接收天线的空间位置。当无线通信系统中使用多根天线时,由于角度扩展、天线辐射方向图和周围环境所导致的空间效应,各个发射-接收天线对之间可能具有不同的信道脉冲响应。由于 MIMO 系统需要信道之间具有低相关度,所以理解这些空间特性可能如何影响系统性能是非常重要的。在此应用指南的后续部分中,将会对所有无线信道中都存在的基本特性进行回顾,例如时延扩展和多普勒扩展,此外,还将引入空间效应,作为一种为高性能信道仿真器创建改进模型的手段。
无线传播特性
平均传播损耗
信号强度的总平均损耗是距离的函数,它遵循 1/d n 律,其中 d 是发射机和接收机之间的距离,n 是取值范围为 2 至 6 的斜度指标,其具体取值与环境有关。例如,在自由空间, n = 2,斜度为 20 dB/10 倍程。在陆地环境中,典型值为 n = 4,导致 40 dB/10 倍程信号衰落,它是距离的函数。在这一陆地设置中,将距离从 100 英尺更改为 1000 英尺 (一个 10 倍程) 将导致信号功率平均衰减 40 dB。现在已经针对不同传播环境开发了几种基于经验的路径损耗模型,例如 COST-231 (1. COST 231 TD (973) 119-REV 2 (WG2)。900 和 1800 MHz 频段中移动无线的城市传输损耗模型, 1991 年 9 月。) 和 lTU-RM.1225 中的模型。
宏观 (慢) 衰落
宏观衰落 (慢衰落) 是由于建筑物和自然地物的阴影效应所导致,接收信号在大约 20 倍波长距离内的局部平均值可以确定此衰落值。宏观衰落分布受天线高度、工作频率和特定类型环境的影响。慢衰落偏离平均传播损耗值的偏差值被看作一个随机变量,如果以分贝 (dB) 表示,其接近正态分布,可以认为它是一种对数正态分布,其概率密度函数(PDF) 如下所示。
在上式中,x (单位为 dB) 是一个随机变量,表示信号功率电平的大幅波动。变量 µ 和 σ 分别是 x 的均值和标准差。µ 和 σ 均用 dB 表示。均值 µ 等于前节中所讨论的平均传播损耗。对于城市环境,标准差 σ 的取值可高达 8 dB。
微观 (快) 衰落
微观衰落 (快衰落) 是因为从周围环境接收的大量多径信号相长、相消干扰而造成的。当距离变化大约二分之一波长时,接收信号的强度可能会发生快速变化,所以将这一特性命名为 "快" 衰落。如果要在大约 20 波长的较短距离上研究接收功率的衰落特性,则可以将叠加信号的同相 (I) 分量和正交 (Q) 分量模型设定为独立的零均值高斯过程。这一模型假定散射分量的数目很大,而且相互独立。因此,接收信号的电压振幅包络为瑞利分布,其 PDF 给出如下
其中,x 是一个随机变量,这里取作接收电压的振幅,σ 是标准差。对于静态用户,由于该用户邻近区域中的散射体存在相对运动,所以也存在类似的响应,它是时间的函数。峰值与零陷之间的功率电平相对变化通常为 15-20 dB,但在某些信道条件下可能高达 50 dB。
如果发射机和接收机之间存在直接路径,那么信号包络不再是瑞利分布,信号幅度的统计特性将服从莱斯分布。莱斯衰落由瑞利分布信号与直接或者视线 (LOS) 信号之和形成。莱斯衰落环境具有一条很强的直接路径,它到达接收机的时间时延与来自本地散射体的多径到达时延大致相同。莱斯分布的电压幅度包络具有如下 PDF
其中,x 是一个随机变量,这里取作所接收的电压幅度,σ 是标准差。I 0 ( ) 项是第一类零阶修正贝塞尔函数。由于 I 0 ( ) = 1,所以当 K = 0 时,莱斯分布简化为瑞利分布。莱斯分布由这个 K 因子定义,对于无线环境来说,K 因子定义为 LOS 分量与散射分量的功率比。
对基带发生器和信道仿真器进行配置,以生成两个独立的瑞利衰落信号,将其作为一个测量示例,用来显示 SIMO 系统中两个独立信道的信号幅度随时间的变化。图 3 给出两个平行基带发生器的基带发生器和信道仿真器测量配置屏幕,利用瑞利分布对两个发生器产生的基带信号进行独立衰落,经过衰落的波形被连接到外部射频信号发生器,进行上变频。由于这两个信道使用了独立的衰落统计信息,因此可以预期,它们的幅度电平在时间轴上是不相关的。图 4 给出两个衰落信号的幅度随时间变化的量测值。这些测量值是使用 Keysight 系列频谱分析仪(设置为 "Zero-Span" 模式) 获得的。如图中所示,这两个通道显示为互不相关,每个信道具有独立的衰落零陷,其中有一些零陷深达 45 dB。
图 3. 使用两台信号发生器配置两个独立瑞利衰落信道的信道仿真器设置屏幕。
图 4. 两个独立瑞利衰落信道随时间变化的接收信号功率。
两个用于评估信道仿真器瑞利衰落性能的主要性能标准为累计概率分布函数 (CPDF) 和电平穿越率 (LCR)。概率分布函数描述信号电平小于平均电平的概率。LCR 是每秒钟穿越平均信号功率电平的次数。例如,3GPP2 标准建议信道模拟器应支持以下测试条件和信道模型参数公差。
对概率分布函数的要求为:
1) 对于在平均功率电平 10 dB 以上、20 dB 以下的功率电平, 公差应在计算值的 ±1 dB范围内。
2) 对于在平均功率电平 20 dB 以上、30 dB 以下的功率电平, 公差应在计算值的 ±5 dB范围内。
对 LCR 的要求为:
对于在平均功率电平 3 dB 以上、30 dB 以下的功率电平, 公差应在计算值的 ±10% 范围内。
基带发生器和信道仿真器的概率分布函数、LCR 理论值与测量值分别如图 5 和 6 所示。在这些曲线中,信号功率是以均值为基准的。概率分布函数和 LCR 结果的测量值与理论曲线很好地吻合,这表明信道仿真器 对瑞利衰落的性能测量值超出了 3GPP2 标准。
图 5. 概率分布函数理论值与测量值的对比。
图 6. LCR 理论值与测量值的对比。
功率时延分布图 (PDP)
在无线通信中,被传送给接收机的信号可能是经由许多不同路径,穿过无线电信道才到达接收机的。在通过无线信道进行传输的过程中,信号可能是通过直接视线 (LOS) 路径,也可能是经过了平面反射,然后才到达接收天线。由于原始传输信号的多个副本传播的距离不同,所以它们到达接收机的时间不同,并且具有不同的平均功率电平。人们利用无线信道的脉冲响应来描述发射机与接收机之间主要路径的特征。使用抽头时延线对脉冲响应建模是一种传统的衰落信道仿真技术。在这些模型中,每个 "抽头" 表示在相同时间到达的众多多径信号之和。由于较晚到达的信号具有更大的路径损耗,并且可能多次经过周围环境的反射,所以抽头幅度通常随着时间的推移而减小。在接收机端,如果存在 LOS 路径,则每个抽头的幅度统计特性服从莱斯分布,如果没有 LOS 路径,则服从瑞利分布。
如图 7 中所述,可将发射机和接收机看作一个椭圆的两个焦点,由同一椭圆反射的所有路径都将具有相同的相对时延。在一个特定的时延,所有信号合并形成信道脉冲响应中的一个抽头。每个抽头的平均功率和时延显示为信道脉冲响应,也称为 "功率时延分布图 (PDP)"。图 7 给出一个信道的功率时延分布图 PDP,它拥有三个抽头 (信号路径)。对这三条路径进行组合,一同构成发射天线与接收天线之间的无线信道。因为信道仿真器可以配有时间时延和相关的幅度分布图,所以这种功率时延分布图 PDP 模型可以用作信道仿真的基础。
图 7. 对功率时延分布图 PDP 使用三抽头模型的信道脉冲响应。
功率时延分布图是无线信道最重要的特性。许多无线标准都定义了需要为系统测试应用哪些功率时延分布图 。此外,在验证系统性能时通常会使用其他自定义功率时延分布图,以强调各种不同多径条件下的无线性能。为了说明如何使用信道仿真器进行测量,我们创建了一个 2x2 MIMO 信道,并对四个信道中的每一个进行 功率时延分布图 响应测量。图 8 给出 2x2 系统 信道仿真器方框图,其配有两路代表 Tx0 和 Tx1 接收机的基带发生器,以及 4 路将两台发射机连接到两台接收机的独立信道。该图形还给出其中一个衰落信道的 PDP 参数。每个信道都配置为具有三个瑞利衰落路径,其相对时延分别为 0 µs、5 µs 和 10 µs。三条路径的相对幅度分别为 -2.044 dB、-5.044 dB 和 -12.044 dB。
图 8. 2x2 MIMO 信道的信道仿真器设置。
表 1 中的测量示例给出用信道仿真器测得的各信道路径时延,其中的信道仿真器 被配置为 2x2 MIMO 信道仿真器。如上表所示,这些时延的测量值几乎与仪器上输入的期望值相同。这些测量值是通过对多次扫描的信道脉冲响应进行平均后获得的。表 2 给出在四个信道上为每条路径进行测量的幅度值。同样,这一信道仿真器性能满足了为准确实现期望 PDP 信道响应所提出的严格要求。
表 1. 路径时延的测量值与设置值 (单位: ns)
表 2. 路径损耗的测量值与设置值 (单位: dB)
衰落多普勒频谱
时变衰落是由于散射或者发射机与接收机的相对运动而发生的,这种衰落会导致频域响应中的扩展,通常将其称为多普勒频谱。发射机与接收机之间的相对运动会导致在有限频谱带宽上发生纯频率单音扩展,此时会导致多普勒频谱。最大多普勒频率 fd,max 与相对速度的关系由下式表示。
其中,v 是移动速度,fc 是载波频率 (Hz),而 c 是光速常数。纯单音的频谱扩展所覆盖的范围为 fc ± fd,max。通过对信道脉冲响应与正弦射频载波之间的自相关求傅立叶变换,可以测量或者计算多普勒频谱。假设移动终端周围的散射体均匀分布,那么,以任意到达角 (变化范围为 0-360°) 接收多径信号的概率相等。在此情形下,理论上的瑞利多普勒功率谱将呈现为如图 9 所示的典型 "U 形"。
图 9. 理论瑞利多普勒频谱。
莱斯衰落是由瑞利分布信号与 LOS 信号之和构成的。因此,莱斯多普勒频谱是瑞利多普勒频谱与 LOS 多普勒频谱的叠加。如果发射机与接收机之间存在相对运动,则 LOS 信号将会发生与相对速率相关的静态频移。LOS 信号的这种多普勒频移可根据下式确定。
改变 LOS 到达角会使多普勒频率相对于中心频率发生漂移,最大漂移频率为 fd,max。莱斯衰落的 K 因子影响直接路径相对于多径的功率电平。图 10 给出莱斯衰落的理论多普勒频谱,它是通过对瑞利多普勒频谱和具有正静态频移的 LOS 求和所得到的。
图 10. 理论上的莱斯多普勒频谱。
如上文所讨论,瑞利和莱斯衰落的功率谱密度将幅度分布描述为频率的函数。但是,可以使用几种不同的频谱模型来表示多径效应和发射机与接收机的相对运动所形成的功率谱形状。PXB 提供了七类可供选择的频谱形状,用以精确地建立各种多径信道的模型。图 11 给出四个标准模型的多普勒频谱,其中包括 "典型的 6 dB"。典型的 6 dB 频谱是最常用的模型,它符合各种移动通信标准中针对瑞利衰落条件详细列出的频谱要求。其他一些没有在图 17 中给出的模型包括 Bell 型、经典 Jakes 型和圆形 Jakes 型。
图 11. 衰落功率谱形状。
如前所述,通常会将信道仿真器内实现的瑞利衰落性能与所定义的标准度量进行对比,以确保操作的一致性。例如,3GPP21 标准建议信道模拟器应支持以下多普勒条件和公差。在使用瑞利 6 dB 多普勒频谱的情形中,在射频载波 fc 周围所测量的功率谱密度 S(f) 将维持如下性能水平:
1) 在频率偏移为 | f-fc | = fd 时, 最大功率谱密度 S(f) 应至少超过 S(fc) 达 6 dB。
2) 在频率偏移 | f-fc | > 2fd 时, 最大功率谱密度 S(f) 将至少低于 S(fc) 达 30 dB。
3) 所模拟的多普勒频率 fd 应该从多普勒功率谱的量测值计算得出。多普勒功率谱的公差应该为 ±5%。
多普勒功率谱的理论值和测量值如图 12 所示。这里将信道仿真器上的多普勒频率设置为 120 Hz。测量结果表明:仿真多普勒频谱性能可以轻松地满足建议要求。从多普勒功率谱的测量值计算得出的多普勒频率为 121.23 Hz,可以得出测量误差为 1.025%,该值远低于建议的 ±5% 公差。
图 12. 瑞利 6 dB 理论频谱形状与测量频谱形状。
动态衰落
在移动应用中,功率时延分布图 (PDP) 中的特性在数米范围内保持相对恒定。在此情形下,对无线信道的脉冲响应在这一短距离内求取平均,以提供信道条件的 "静态" 或者广义平衡视图。当移动终端在更宽阔的区域内移动时,PDP 的形状和特性会发生显著变化,如图 13 中的实例所示。
现代无线通信系统必须适应这些剧烈变化,以持续降低多径时延扩展的影响。为了精确地评估时变功率时延分布图 PDP 的性能,信道仿真器必须能够仿真路径时延特性中的时变变化。滑动相对路径时延和 Birth-Death 时变相对路径时延是在仿真动态时延扩展中普遍应用的两种模型。
图 13. 显示时变功率时延分布图的动态衰落特性。
角度扩展与角度功率谱
传统的无线信道建模方法 (例如功率时延分布图和多普勒频谱) 可以精确地表示 SISO 系统的多路效应。这些传统模型的缺点在于他们通常没有包括多径环境下由天线位置和极化引起的空间效应。他们也没有包括天线方向图对系统性能的影响。例如,在如图 14 所示的简单 MIMO 情形中,Tx0 发射天线具有两条到达 Rx0 接收天线的信号路径,即 LOS 和一条多径。LOS 路径以离去角 (AoD) θd 1 离开 Tx0,这一角度是相对于阵列视轴测量得到的。阵列视轴定义为天线阵列线的法线 (垂直) 方向,主要用作描述角度方向的参考方向。由于发射机与接收机的阵列视轴方向可能没有相互指向对方,所以接收信号的到达角度可能有所不同,这一到达角度被定义为到达角 (AoA)。在图 20 中,LOS 路径从发射天线 Tx0 到达接收天线 Rx0 的 AoA 为 θa 1。如图所示,Tx0 与 Rx0 之间多径的 AoD 和 AoA 分别为 θd 2 和 θa 2。对于连接 Tx1 发射天线和 Rx0 的信号路径,其 AoD 和 AoA 可能不同于从 Tx0 到 Rx0 的 AoD 和 AoA,具体取决于 Tx0 和 Tx1 天线的空间分离度。如果两根发射天线彼此非常靠近,则 AoA 与 AoD 非常相似,天线对 (Tx0/Rx0 和 Tx1/Rx0) 之间的衰落可能高度相关。正如前文的讨论,发射 — 接收天线对之间的高度相关性会降低 MIMO 和 STC 系统的性能。因此,对于任何 MIMO 信道仿真器而言,包括空间效应以及天线对之间信道相关性的模型是非常重要的。
图 14. 2x2 MIMO 系统的空间图表示与发射和接收天线阵列视轴相关的离开角 (AoD) 和到达角 (AoA)。
也可以不在信道仿真器中对每个 AoD 和 AoA 建模,而是通过包括 AoD 和 AoA 扩展 (称为 "角度扩展") 来获得一个改进模型,用于对丰富多径环境的特性进行仿真。由于接收信号的幅度取决于天线的空间位置,所以角度扩展会导致空间选择性衰落。当发射机或/和接收机端利用多个天线时,由于天线分离、天线辐射方向以及周围环境的原因,不同的发射接收天线对可能拥有不同的衰落特性。在图 21 所示的示例中,由于大多数散射体距离基站天线的位置非常远,所以典型基站 (BS) 的角度扩展非常窄。与此形成对比的是,移动站 (MS) 在其周围包括大量本地散射体,因此会导致非常宽的角度扩展。如果基站天线在物理位置上非常靠近,很窄的角度扩展会导致信道之间的高度相关。幸运的是,基站通常拥有足够的空间使其天线之间的位置足够远,从而降低信道相关度。对于具有大角度扩展的移动站,可以将天线放置得彼此非常靠近,但同时能够保持信道相关程度很低。在移动手持设备中,需要在小型包装内放置多个天线,对于这种情景,紧凑的天线间隔是理想选择。图 15 还给出基站周围空间角的紧密分组,将其称之为 "群集" (cluster)。可以使用一个在周围环绕着角度扩展的平均角度来建立群集模型。这一表示允许将统计 PDF 模型应用于作为角度函数的接收功率。
图 15. 在多径环境下作为天线位置函数的角度扩展图。
角度扩展的特性用角度功率谱 (PAS) 来描述。用 θ 来表示 AoA 或者 AoD,信号的 PAS ― s(t,θ) ― 将平均功率表示为角度的函数。定义
对此分布进行归一化,以满足概率密度函数的如下要求
图 16 给出三个广泛使用的 PAS 分布模型: 拉普拉斯、高斯和均匀分布模型,信道仿真器支持所有这些模型。PAS 分布通常是根据所需传播环境进行选择的,例如,拉普拉斯模型适用于城市和农村区域的户外传播。为每个群集分配了一个 PAS 分布,这个 PAS 分布能够最好地估计无线信道 PAS 的测量值或者建模值。角度 θ0,k 是第 k 个群集的平均到达/离开角。如图所示,将拉普拉斯和高斯分布截短以平均角 θ0,k 为中心的 2∆θk 值。表 3 给出有关 PAS 的均匀模型、高斯模型和拉普拉斯模型的多模态分布函数。
1. K. I. Pedersen、P. E. Mogensen 和 B. H. Fleury, 室外环境下的空间信道特性及其对基站天线系统性能的影响 , Proc. IEEE 车辆技术会议 (VTC) 1998, 加拿大渥太华, 第 2 期, 第 719-723 页。
2. L. Schumacher 和 B. Raghothaman, 受多模态截短拉普拉斯 PAS 影响的方向性天线相关系数的闭合表达式, IEEE 无线通信会议记录, 第 4 册第 4 期, 2005 年 7 月, 第 1351-1359 页。
图 16. 用于建立角度 "群集" 模型的角度功率谱 (PAS) 分布。
表 3. 多模态 PAS 分布函数
上表 3 中所示的 Nc 值是群集数,θ0,k 是第 k 个群集的平均到达/离开角,并推导出常数 Q k 以满足式 23 中的归一化要求。高斯分布和拉普拉斯分布中的标准差 σk 称为角度扩展(AS)。S (θ) 的表达式与分布的截短相关,其中这些函数仅在以平均角度 θ0,k 为中心的有限区间 [θ0,k - ∆θk,θ0,k + ∆θk] 内有定义。将 U (θ) 定义为阶跃函数,则将表 3 中的 S (θ) 表达式定义为
表 3 中分布的 "多模态" 概念是指一些条件,这些条件具有多个可解群集,并且可用特定的 PAS 函数建立其空间分布模型。例如,图 17(a) 给出在较低多径环境下运行接收机时的测量 PAS。该图显示两个峰值,表示发射机与接收机之间发生两个大型的多径信号群集。可用实际分布的最佳拟合,通过 PAS 分布对每个群集近似。对于如图 17(a) 所示的示例,利用两个以群集峰值为中心的截短拉普拉斯分布对测量响应进行最佳近似,如图 17(b) 所示。
图 17. 使用拉普拉斯分布的测量 PAS (a) 和等效模型 (b)。
使用信道仿真器可以很容易地为 MIMO 信道模型中的每条有效路径定义发射机与接收机端的群集角度。如图 18 所示,信道仿真器为所选信道内的每条路径提供了 AoD、AoA 及相关角度扩展的表格项。在此情形下,信道仿真器在此信道内使用两种路径定义,各具有一个唯一的空间分布。
图 18. 为对无线路径中的 PAS 效应建模, 而为 AoA、AoD 和相关角度扩展输入取值的配置表。
"角度功率谱" 只是一种空间特性,它可能引入各个 MIMO 信道之间的相关性。这些由空间引起的信道相关性还可能受到天线方向图、天线距离和极化的影响。本应用指南的后续部分将对这些主题进行讨论,还将讨论他们与 MIMO 系统中信道相关性的关系。
天线增益与天线方向图
天线增益用来衡量天线在特定方向上辐射功率的能力。通常,将天线与一个基准天线的相对数值作为天线增益,其中,通常采用一个在所有方向上均匀辐射功率的各向同性天线作为参考天线。天线方向图描述辐射功率随三维空间的变化,通常采用以 φ 和 θ 为参数的球形坐标系。通常,在球形坐标系中进行水平剖面可以得到随 θ 变化的方位角方向图。这种二维剖面通常以极坐标形式或者直角坐标形式显示。天线方向图通常分为两类: 全向天线和定向天线。全向天线的增益方向图在所有方向是均匀的。对于一个垂直放置的偶极子天线 (垂直极化),增益方向图在方位面上是均匀的,如图 19 中的极坐标曲线所示。在本示例中,对于 0 (视轴) 至 ±180° 范围内的任何角度,方位角增益为常数。在移动应用中优先选择一种全向天线,这样用户就不再需要为了获得最佳 SNR 性能而放置或者 "指向" 天线。与此对照,定向天线在视轴方向的增益更高一些,这是因为在该方向上聚集了更多的辐射功率。图 19 还给出了一种典型定向天线的增益方向图。如图所示,定向天线在视轴方向上的增益要高于全向天线。定向天线通常被用在基站中,以便将基站周围的区域分成几个扇区,从而提高覆盖率和降低系统内干扰。
图 19. 全向天线、方向性天线的典型增益方向图。
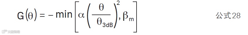
通常,会根据最大场强对天线方向图进行归一化,以便将所显示的峰值设置为 0 dB。半功率或者 3 dB 波束宽度 θ3dB' 定义了其增益相对于峰值降低 3 dB 的角度。对于三扇区基站天线来说,3 dB 天线波束宽度通常为 70°。对于六扇区基站天线来说,3 dB 天线波束宽宽通常为 35°。在许多蜂窝标准中,经过分区的增益方向图被定义为
其中,将 θ 定义为信号方向与天线视轴之间的角度。将 βm 的值定义为最大衰减值,α 为常数。对于 3GPP 标准1 来说,α 被设置为 12 dB。对于三扇区天线来说,θ3dB = 70° 和 βm = 20 dB,在图 26 中给出了增益方向图在直角坐标系中随 θ 变化的曲线。对于六扇区天线来说,θ3dB = 35° 和 βm = 20 dB,天线方向图也在图 20 中给出。
图 20. 3 扇区、6 扇区蜂窝天线的增益方向图随方位角的变化曲线。
天线间隔
可以证明: 发射机和/或接收机端的天线间隔与整体空间相关性具有很强的关系。当天线间隔减小时,信道之间的相关性将会增大。在极端情形下,如果两个发射天线的放置方式使它们具有相同极化,则可以预期它们到达单一接收天线的信道特征可能是相同的。因此,为了使 MIMO 系统能够很好地工作,很重要的一点是对天线位置进行优化,以降低信道之间的相关性。例如,图 21 给出两个垂直放置的偶极子天线,其间隔距离为 d。通常,在传统的相控阵应用中,天线间隔大约为 λ/2,利用这一间隔来提高复合阵列的增益。在 MIMO 应用中,对于天线间隔的要求不是为了获得高阵列增益,而是为了获得低信道之间的相关性。在此情形下,天线间隔可能远大于 λ/2,唯一的限制就是为了分隔各个单元所需要的区域空间。例如,由于手持设备中的空间有限,移动设备可能选择 λ/2 间隔,而基站中采用的天线间隔可能等于或大于 4λ。
图 21. 阵元间隔等于 "d" 的偶极子天线布置方式。
来源:是德科技知乎站



