锁相环(PLL)电路存在于各种高频应用中,从简单的时钟净化电路到用于高性能无线电通信链路的本振(LO),以及矢量网络分析仪(VNA)中的超快开关频率合成器。
锁相环是一种反馈系统,其中电压控制振荡器和相位比较器 相互连接,使得振荡器频率(相位)可以准确跟踪施加的频率 或相位调制信号的频率。锁相环可用来从固定的低频信号生 成稳定的输出频率信号。首批锁相环由法国工程师de Bellescize 在20世纪30年代初实现。然而,直到20世纪60年代中期,集 成式PLL成为一种成本相对较低的元件之后,锁相环才得到 市场的广泛认可。
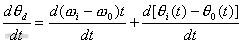
(8-4-1)
(8-4-2)
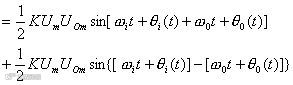
(8-4-3)
(8-4-4)
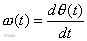
(8-4-5)
(8-4-6)
(8-4-6)


投稿&专栏合作 请加小编微信号:18675536035


