Ⅰ 简述
从本质上讲,巴伦的出现就是为了解决非平衡态到平衡态转化的问题。应用巴伦结构设计可以实现单端信号到差分信号的良好过渡,并且使得前后级阻抗达到匹配状态,由于巴伦物理结构的关系,前后级的直流成分无法通过。巴伦常用于低噪声放大器、平衡输出混频器、平衡式倍频器、及可变增益放大器、移相器以及其他需要单端信号到差分信号转化的电路设计方向。
由于目前可见的文献中对于射频毫米波的巴伦设计和匹配介绍的比较少,本文对Ka波段1:1巴伦设计以及Smith匹配内容进行介绍和分享。
Ⅱ 所提出拓扑和电路
本次设计的巴伦属于变压器巴伦,由于简单的设计、良好的性能被频繁采用。
巴伦设计匝数比1:1,采用电容匹配将Ka波段带内匹配到50欧姆附近以获得良好的回波损耗以及较小的插损。
如图1所示,变压器式巴伦为三端口器件。其中P为单端输入端口,S+和S-为差分输出端口,实现了非平衡到平衡端口的转换。
巴伦的重要指标是其幅度和相位平衡性,一个理想的巴伦具有成分输出幅度相等,相位差值为180°的特性。
其中,巴伦差分端中间需要有接地的抽头以保证巴伦良好的幅相一致性。平衡端口抽头接地的好坏直接影响到巴伦的幅相平衡性,在处理差分输出中间抽头时可根据需要进行交流电容接地或是直接DC接地处理。

图1、理想巴伦示意
巴伦分为多种类型,微波射频设计中使用的巴伦类型取决于所需的带宽,工作频率以及该设计的物理结构。
图2为变压器巴伦的版图设计,分别采用相邻的两层金属进行巴伦设计,目的是可以获得较高的耦合度减小插损。
巴伦非平衡端口和平衡端口为了实现阻抗变换,就需要改变不同的耦合匝数。一般情况下,用1:n来表示巴伦单端和差分端口的匝数比值。

图2、巴伦物理layout
由于巴伦匝数比等于电压比,如1:n=V1/V2,巴伦匝数比等于电流比的倒数,如1:n=I2/I1。如下:
(V1/V2)*(I2/I1)=(V1/I1)/(V2/I2)
=1:n*1:n=1:n2
以上公式变换说明,巴伦前后级的阻抗比相当于匝数比的平方。如果阻抗比为1:4,那么匝数比为1:2。
本文设计以匝数比1:1为例进行仿真设计验证。
那么,巴伦实现单端到差分的转换同时,如何实现前后级的匹配涉及到许多的设计技巧,同时也决定了设计的带宽。
其中,常见的巴伦匹配方式如下:
- 巴伦前后级并联电容谐振进行带宽的扩展;
- 与一般的Smith匹配方式相同,进行电容串并联L型匹配,具体参照Smith阻抗位置,不可一概而论;
- 调整巴伦自身的物理参数,如减小巴伦前后级电感耦合度,牺牲插损获得更大的带宽。
如下面图3拓扑结构为常规的巴伦匹配方式。可以看到,巴伦的前后级分别并联电容进行谐振匹配,期望达到良好的匹配和带宽。电容的大小会影响到谐振点的位置实现不同的增益和带宽组合,根据需要可以灵活进行调整,具体实现具体分析。

图3、巴伦电容调谐
本文提到的巴伦设计及匹配方式适合单端到差分信号转换电路的匹配方式,不同于单端匹配设计。由于巴伦寄生参数模型的复杂性,其匹配方式不同于单端匹配。简单的Model又无法正确描述巴伦的高频寄生特性,目前应用中,效率和准确性在巴伦设计中存在折衷关系。巴伦参与匹配的主要优势在于:
- 两级电感进行物理叠层设计,大大压缩芯片面积降低成本,实现宽带。而单端匹配如需实现宽带设计,需要多级LC器件进行多节匹配设计,复杂度高而且面积较大。
- 巴伦可以将DC偏置于射频匹配同时进行集成,将DC电源端作射频接地应用减少端口和电路复杂性。
- 无需附加DC Block即可将前后两级进行直流隔离。
常见的巴伦匹配使用片上集成电容,如MIM电容和MOM电容。如下图4中分别是上下叠层的MIM(Metal-Insulator-Metal)和MOM(Metal-Oxide-Metal)以金属边缘形成的电容。

图4 (a)、MIM电容

图4 (b)、MOM电容
射频毫米波段巴伦应用于各种高集成度IC当中,如LNA、PA、MIXER等。一般不做单巴伦器件,以避免复杂的微组装方式和带入更多的插损和失配,以及更多的可靠性问题。
本文采用电容谐振进行巴伦前后级的匹配,实现了26到40GHz的阻抗匹配,获得了良好的插入损耗以及回波损耗。
如未匹配的巴伦相当于一组并行的电感实现空间上的电磁耦合,其寄生特性较为复杂。为了提升设计效率,可以将巴伦看做类似于电感电容一样的匹配元件进行匹配处理,同时也可以看做是黑盒的s2p文件进行前后级的匹配处理。匹配原则与一般的Smith匹配基本一致。

图5、巴伦匹配Smith圆图
其中,S11是巴伦单端输入全频段阻抗位置,S22为差分输出端阻抗位置。Smith圆图已匹配到合适的位置,即系统阻抗50Ω附近,对应的输入输出回波损耗达到-10dB以下的指标要求。
Ⅲ 测试/仿真结果展示
匝数比1:1无法进行前后级阻抗的变化,目前针对巴伦layout进行EM仿真,分析各项基本参数。
如下图6为巴伦S参数仿真结果。目前,平衡端插损在3.1dB左右,回波损耗小于-10dB,满足常规的射频毫米波巴伦要求参数。

图6、巴伦S参数仿真结果
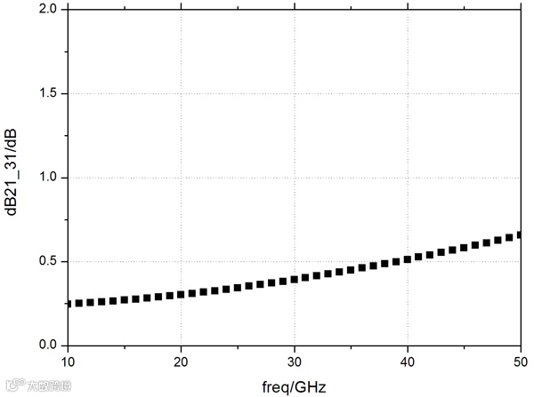
幅度平衡性指标由巴伦的结构和线路的匹配程度决定。幅度平衡是指输出功率的大小之间相匹配,两输出功率大小之间的差值称为幅度不平衡度。如图7的幅度一致性仿真结果所示,目前结构可达到的指标为带内0.35dB到0.51dB范围内。

图7、幅度一致性仿真结果
巴伦的一项重要指标为其相位平衡度,即两个平衡输出与“功率水平相等,相位相差180°”这一理想状态的接近程度。两个差分输出之间的相位角度差与180°的偏离程度称为巴伦的相位不平衡度。
如图8中的相位一致性仿真结果所示,带内差分信号相位差为181.2°到182.2°之间,与理想状态的180°偏差为1.2°到2.2°之间,比较节接近理想巴伦的指标状态。

图8、相位一致性仿真结果
Ⅳ 总结
巴伦的实现形式多种多样,根据应用场景,指标参数,实现材料等可以进行灵活的选择。
本文之所以进行射频毫米波巴伦的介绍以及匹配方式的说明,是因为在设计射频毫米波LNA时遇到很多设计上的困难及困惑。在完成LNA设计的同时对巴伦使用有了更加深入的认识,包括巴伦的单端-差分转换特性,宽带匹配特性,幅相一致性优化方法及匹配与DC偏置一体化设计等。
本文是基于Ka波段26到40GHz进行的巴伦仿真设计,目前可实现插入损耗3.1dB左右,回波损耗满足-10dB一下的设计要求。同时,幅度平衡性在0.35到0.51dB内,相位平衡性小于2.2°,实现了良好的幅相一致性。
表1、巴伦基本参数仿真指标
| 指标 | 仿真指标 | 单位 |
| Freq | 26~40 | GHz |
| IL | 3.1dB | dB |
| RL_bal | <-10 | dB |
| RL_unbal | <-10 | dB |
| dB_balance | 0.35~0.51 | dB |
| ph_balance | 1.2~2.2 | degrees |
以上便是要给大家分享的内容,希望对大家有所帮助~~
大家持续关注“微波射频网”,后续精彩不断~
为了让大家更好的了解当前射频行业的发展现状
我们正在发起RF行业大调查,诚邀您参与!


