5G及无线技术专栏主要介绍5G NR、LTE、WiFi等主流无线通信技术,由业界一线工程师执笔,结合理论与实践,既有标准解读,又涵盖链路仿真与测试,是不可多得的进阶学习平台。如有想看到的内容或技术问题,可以在文尾写下留言。
现代的频谱仪已经不只是单纯的测量频谱,借助于DSP技术,现代频谱仪同时具备矢量信号的解调与分析功能,因此严格意义上应该称为频域与信号分析仪,可以同时对信号进行频域,时域和调制域的分析。对于5G NR(New Radio)信号,调制域是分析信号的重要手段,通过信号的解调分析,可以判断信号的正确与否以及信号质量的好坏。

图1、现代频谱与信号分析仪结构
在3GPP的TS 38.141和TS 38.521协议中,对于基站和手机的调制域指标都有明确的规定。在这两个协议中,调制域的指标有EVM(Error Vector Magnitude),频率误差(Frequency error),频谱平坦度(spectrum flatness),这几个指标都是通过对信号的解调分析才能得到,尤其是频率误差和频谱平坦度,很容易引起误解,很多人以为这两个指标是通过测量信号的频谱进行频域测量获得,矢量信号的频谱本身就是不平的,不可能通过频谱得到信号的中心频点和平坦度指标。实际上频域误差是在信号解调过程中通过解调参考信号DMRS(Demodulation Reference Signal)或者循环前缀(Cyclic Prefix, CP)获得,而频谱平坦都是解调过程中通过均衡系数(Equalizer coefficient)获得。
DMRS的重要的作用就是相干解调(Coherence Demodulation),解调软件通过DMRS信号进行信号的同步,频率误差估计,信道估计。对于5G NR的信号的解调,待测信号的参数设置非常重要,频谱仪解调软件正是通过设置的参数生成本地DMRS信号,从而完成信号检测和解调。这些参数会影响解DMRS信号序列生成和时频域分布,因此这些信号参数设置的正确与否直接决定了解调软件能否生成与待测信号相匹配的DMRS序列,只有正确得到DMRS序列,才能正确完成信号解调,从而得到正确的EVM指标,频率误差和频谱平坦度指标。
与4G信号不同,5GNR信号为了支持eMBB(Enhance Mobile Broadband,增强型移动宽带),uRLLC(Ultra Reliable & Low Latency Communication,低时延高可靠通信)和mMTC(Massive Machine Type Communication,海量物联网通信)三大场景,5G NR信号可以灵活多变,但也导致信号结构要复杂得多,信号解调分析时参数设置也要复杂得多,对于经常使用频谱仪对5G NR信号进行解调分析的研发测试人员也提出了更高的要求,需要对5G NR信号有足够的理解。
本文主要整理了5G NR 信号解调分析中关键参数的设置,包括这些参数在3GPP物理层协议中的定义,为什么这些参数会影响解调,这些参数设置不合理会出现什么异常结果等,从而帮助仪表使用者理解3GPP协议,正确地对5G信号进行分析,当测试出现问题时,能快速定位信号解调分析中的问题。
总结起来,影响5G NR信号解调的主要参数有以下参数。
1、Cell ID 
PUSCH DMRS序列在Transform precoding on和off时候使用的序列不一样,但是该序列都可能与Cell ID有关。以Transform precoding disabled时为例,在TS 38.2116.4.1.1章节定义其序列生成如下:

其中c(i)的初始值如下:

在没有higher-layer参数指示的情况下,其中
。通常在非信令测试条件下,都满足
。因此Cell ID
设置不正确会影响本地DMRS序列的生成,从而影响仪表信号的解调。当Cell ID设置不正确的时候,信号解调可能会出现“Sync Not Found”的无法解调的提示。
2、BW(Bandwidth)和RB(Resource Block)参数
BW和RB的起始位置及RB个数会影响DMRS的频域分布,同时按照38.211协议,DMRS序列的生成也与RB的个数有关,因此这两个参数设置不合理可能会导致仪表出现“Sync Not Found”的无法解调的提示。

图2、仪表同步失败错误提示
3、TransformPrecoding
与LTE信号不同,5G NR的上行信号同时支持CP-OFDM和SC-FDMA,是通过TransformPrecoding on和off参数进行设置的。根据TS38.211协议6.4.1.2章节,在TransformPrecoding on和off下,DMRS序列生成公式是不同的,因此TransformPrecoding参数设置不合适也会引起信号同步失败,出现“Sync Not Found”的无法解调的提示。
4、mapping type和dmrs-TypeA-Position
Mapping Type决定了第一个DMRS符号的位置l0。
1)对于mapping type A,DMRS符号的起始位置l0取决于dmrs-TypeA-Position。dmrs-TypeA-Position的取值为pos2(表示第一个DMRS符号是符号2)或者pos3(表示DMRS符号是符号2)。
2)对于mapping type B,l0=0,表示第一个DMRS符号是符号0。
如图3所示,可以直观地看到在不同的mapping type下DMRS所在的符号位置是不同的。

图3、在不同mapping type下DMRS信号的频域分布
当mapping type和dmrs-TypeA-Position设置与真实信号不一致时,由于解调软件预期的DMRS符号时域位置与真实信号不一致,从而无法搜索到正确的帧头,会出现“Sync Not Found”的无法解调的提示。图4显示了待测信号的mapping type是Type A,但是在解调时却设置成了mapping type B,从而导致信号解调失败。

图4、mapping type参数设置不合适导致信号解调失败
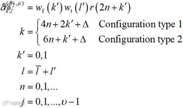
5、DMRS Configuration Type
DMRS config决定了DMRS在频域的密度,在38.211 6.4.1.1.3章节中有如下定义,从这个公式可以看出,对于DMRS configuration为Type 1时,在频域每隔1个子载波分布着1个DMRS载波,每个RB具有6个DMRS子载波,而当DMRS configuration为Type 2时,每隔2个子载波分布着1个DMRS载波,每个RB具有4个DMRS子载波。图5显示了不同DMRS configuration DMRS RE在频域的分布。


图5、不同DMRS configuration时DMRS子载波的频域分布
由于DMRS configuration type决定了DMRS载波的频域分布,因此当DMRS configuration type参数设置不合理时,由于解调软件预期的DMRS信号与待测信号的真实DMRS不一致,会出现信号同步失败,如图6所示,出现“Sync Not Found”的无法解调的提示。

图6、DMRS configuration type设置错误导致信号同步失败
6、DM-RS duration
表1、TS 38.211 Table 6.4.1.1.3-5: PUSCH DM-RS time index l'.

TS 38.211 Table 6.4.1.1.3-5定义了DM-RS duration ,DM-RS duration决定了时域连续DMRS符号的个数,如图7所示。因此,当信号的DM-RS duration设置与真实信号不一致时,也会导致信号同步失败,出现“Sync Not Found”的无法解调的提示。

图7、不同DM-RS duration时DMRS信号的时域分布
7、dmrs-AdditionalPosition
在协议TS38.211 中,Table 6.4.1.1.3-3和Table 6.4.1.1.3-4定义了不同dmrs-AdditionalPosition下DMRS信号的时域符号位置。将不同dmrs-AdditionalPosition下DMRS的时域符号分布直观地显示出来如图8所示,由此可见,dmrs-AdditionalPosition会影响DMRS信号的时域分布,因此,当信号的dmrs-AdditionalPosition设置与真实信号不一致时,可能导致信号同步失败,出现“Sync Not Found”的无法解调的提示,或者如图9所示,同步成功,但是星座图是乱的,因为解调软件将一些数据RE(Resource element)误判为DMRS或者将DMRS误判为数据RE。
表2、PUSCH DM-RS positions within a slot for single-symbol DM-RS and intra-slot frequency hopping disabled.

表3、PUSCH DM-RS positions
within a slot for double-symbol DM-RS and intra-slot frequency hopping disabled.


图8、不同dmrs-AdditionalPosition时DMRS信号的时域分布

图9、dmrs-AdditionalPosition设置不合适导致信号解调失败
8、Number of DMRS CDM groups without data

图10、不同Number of DMRS CDM groups without data参数下DMRS符号DMRS与数据复用
Number of DMRS CDM groups without data 参数决定DMRS与Data是否在同一symbol内复用, 如图10所示的DMRS符号(symbol#2)内,红色子载波代表DMRS,其余的子载波位置既可以配置成发送蓝色的Data,也可以配置成不发送任何数据的保留子载波,当Number of DMRS CDM groups without data为1的时候,其余RE被配置成数据RE,当Number of DMRS CDM groups without data为2的时候,其余RE不发任何数据。
因此在进行信号解调的时候,Number of DMRS CDM groups without data设置不合适会导致星座图上出现零点的星座点,如图11所示,解调端误认为在那些保留子载波的位置也是正常发送了调制数据的,但实际检测到的都是功率为0的星座点,导致在这些RE上的EVM值很高。此时需要正确设置Number of DMRS CDM groups without data,这样软件就不会去试图解调那些不发送任何数据的保留子载波,使得零点得以消除,如图12所示。

图11、Number of DMRS CDM groups without data参数设置不正确导致星座图出现零点

图12、Number of DMRS CDM groups without data参数设置正确时的解调结果
9、Symbol Phase compensation

与4G不同,5G NR支持多种可变的载波带宽以及载波内BWP的分配,因此收发两端的中心频点不一致是一个非常典型的场景,如不进行合适的相位补偿会出现接收机无法正确解调信号的情况。在TS 38.211 5.4章节Modulation and upconversion中定义了5G NR逐符号进行相位补偿Symbol Phase compensation,并且是补偿到特定的某个发射频点(f0),这个补偿需要在基带信号中完成,用于解决发射端的中心频点与接收端的中心频点不一致而带来的相位旋转问题。
因此,在信号进行解调的时候相位补偿也要设置成与待测信号一致,否则星座图可能会凌乱,出现有规律的旋转,EVM也很差,如图13所示,它并不是完全随机性混乱的星座图,而是呈现出有某种规律的图样。当相位补偿设置正确的时候,星座图就恢复正常。

图13、Symbol Phase compensation参数设置不正确时的解调结果
10、小结
5G NR信号的参数比较复杂,解调分析需要正确设置信号参数,如果参数设置不合适可能会导致解调失败或者EVM很差,测试者可以根据具体现象判断可能是哪些原因导致解调失败,快速定位问题,各参数设置不合适导致的解调异常问题总结如表4所示。
表4、5G NR各参数设置不合适导致的解调异常问题总结
| 参数 | 设置错误导致的解调异常现象 | |
| 1 | Cell ID | 同步失败 |
| 2 | BW和RB | 同步失败 |
| 3 | TransformPrecoding | 同步失败 |
| 4 | mapping type和TypeA Position | 同步失败 |
| 5 | DMRS configuration Type | 同步失败 |
| 6 | DM-RS duration | 同步失败 |
| 7 | dmrs-AdditionalPosition | 同步失败或者星座图凌乱,EVM很大 |
| 8 | Number of DMRS CDM groups without data | 星座图很整齐,但是出现零点,EVM值很大 |
| 9 | Symbol Phase compensation | 星座图有规律的旋转,EVM很大 |



