
距离2021年高考还有不到两百天,当无数高中生还在为千军万马过独木桥儿紧锣密鼓准备之时,有部分初中生却已经一只脚踏入了清华大学的校门。
2020年的最后一天,清华大学发布官方通知,将启动“丘成桐数学科学领军人才培养计划”,初三学生就可申请,有机会直接走上本硕博连读的“学霸道路”。
在大部分同学还在为一次、二次函数头疼的时候,杭州已经有会微积分的初中生报名了。
“微积分”,听起来是大学生才会接触到的三个字,俨然成了判断超前学霸的指标。它究竟有多难?
先别着急皱眉头,其实早在我们小学二年级的时候(甚至可能更早),就已经见识过微积分了,而且我们身边许多看似理所应当工具,全都要拜它所赐。
相信每一位小学数学老师都曾这样提醒过刚学习除法的我们:0一定不可以作为除数,因为没有数乘以零会得出非零数。我们从此将其奉为圭臬。
可另外一种有意思的情况:在实无穷条件下,如果一个无限接近0的数被累计无穷次,结果可以等于任何数。
微积分,便是把复杂的问题分解为无穷个小问题(微分),再将它们组合在一起(积分)。组合多少次呢?无穷次。
“无穷”是一个奇妙的封印。数学家史蒂夫·斯托加茨(Steven Strogatz)在著作《微积分的力量》中将无穷称作“被通灵术召唤的灵魂”,这可不是恭维。例如,如果一段很短的线段被分为实无穷段,则每一段的长度为0。亚里士多德认为这会招致谬论,所以,他不允许在数学和哲学中使用实无穷,只能使用潜无穷。在接下来的2200年里,他的这条“法令”得到了数学家的支持。
在史前时期的黑暗角落里,有人意识到数字是无尽的。伴随着这样的想法,无穷诞生了,它是我们心灵深处、无底噩梦和永生愿望中的某些东西的数字对应物。无穷也是我们的很多梦想、恐惧和未解之谜的核心:宇宙有多大?永远是多久?上帝有多强大?几千年来,在人类思想的每一个分支,从宗教、哲学、科学到数学,无穷一直困扰着世界上最优秀的大脑,始终被视为一个危险的概念。
而正如《微积分的力量》的引文原书名Infinite Powers(可直译为“无穷的力量”)所暗示的,无穷拥有力量,但只有在被“驯化”后才能够发挥它惊人而奇妙的能量,这种“驯化”实则是一场壮丽的天才接力。在书中,斯托加茨本人成了一位优雅从容的引路者,将天才们的生命之链徐徐展开。
如何用素描技法画出一个圆?首先要画一个方形,再将它一步步切成多边形,边越多,看起来越像一个完美的圆。
阿基米德运用了类似的思路计算圆周率。但圆并不是由直线组成的,而是由弯曲的弧组成的。当我们用直线来代替每一段弧时,就相当于走了点儿捷径。因此,近似值肯定小于圆形路径的实际长度。但至少在理论上,通过走足够多的步数,并且每一步的步长足够短,我们就可以尽可能精确地估算出圆形路径的长度。
阿基米德从由6条线组成的路径开始,6是一个非常小的步数,六边形显然也不太像一个圆,但对阿基米德来说一切才刚开始。当从六边形中得出结论之后,他缩短了步长,并将步数翻倍。他的做法是,绕路到每段弧的中点处,用两小步取代之前的横跨弧的一大步。
之后他不断重复这一做法。从6步到12 步,24 步、48 步、96 步,并以令人头痛不已的精密度算出了这些不断缩小的步长。
阿基米德徒步切圆示意图(图源《微积分的力量》:驾驭无穷的勇士)
无论是在逻辑上还是在算术上,阿基米德计算π值的行为都堪称壮举。借助圆内接96边形和圆外接96边形,他最终证明π大于3 + 10/71 而小于3 + 10/70。
人们崇拜阿基米德,是因为他在自己的论著中做了鲜有天才会做的事情:邀请我们参与其中,向我们展示他是如何思考的。他冒着受到攻击的风险,分享了自己的直觉,希望未来的数学家也能够用它去解决他不理解的问题。今天,这个秘诀被称为阿基米德方法。
阿基米德方法复写本(图源:top.zhan.com)
阿基米德坦承,尽管他的方法“并没有真正证明”他感兴趣的结果,但他提出了自己的希望:
“在现在和未来的几个世代中,某些人会利用这种方法,找到我们尚未掌握的其他定理。”
这位无与伦比的天才在数学的无限性面前感到了自己生命的有限性,他认识到还有很多事情要做。所有数学家都有这样的感觉,我们的研究课题永无止境,就连阿基米德本人也要俯首称臣。
阿基米德的遗产直到今天仍然熠熠生辉。《玩具总动员》中的角色之所以看起来栩栩如生,部分原因在于它们体现了阿基米德的一个洞见:任何平滑表面都可以令人信服地用三角形来逼近。我们使用的三角形越小和越多,逼近效果就越好。这一思路一直持续到制作《心灵奇旅》的今天。
阿基米德之后1800年,伽利略和开普勒将目光望向宇宙,如果没有他们,我们或许还不知全球定位系统和航天器为何物。微积分故事中的关键时刻出现在17世纪中叶,曲线之谜、运动之谜和变化之谜在二维网格——费马和笛卡儿的xy平面——上发生了碰撞。我们今天已经对他们创造出的坐标轴习以为常了。
开普勒的天体运行模型(《微积分的力量》:运动定律的探索之旅)
到了下一代,在费马、笛卡儿、伽利略和开普勒的研究成果的基础之上,英国的牛顿和德国的莱布尼茨彻底改变了数学的进程。他们把关于运动和曲线的思想松散地拼凑在一起,创立了微积分。
1673年,当莱布尼茨引入“微积分”一词时,他的原话是“a calculus”(一个微积分),有时还会更亲切地称它为“my calculus”(我的微积分)。遗憾的是,现在它的冠词和所有格全都消失了,只剩下单调苍白的“calculus”。
撇开冠词不谈,calculus这个词本身就有很多故事。它源自拉丁词根calx,意指一块小石头,医生也会用这个词来指代结石。讽刺的是,牛顿和莱布尼茨这两位微积分先驱都死于给他们造成极大痛苦的结石:牛顿患有膀胱结石,而莱布尼茨患有肾结石。
牛顿和莱布尼茨通过两条不同的途径各自得出了微积分基本定理。牛顿的方法是思考运动与流动问题,也就是数学连续性的一面。而莱布尼茨的方法正相反,尽管他是一个未受过正规训练的数学家,但他年轻时花了些时间思考离散数学问题,比如整数与计数、组合与排列,以及分数与特定类型的和。
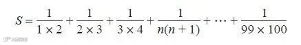
如果你看不出其中的技巧,它就是一个冗长而直接的计算过程。只要有足够的耐心(或者一台计算机),我们就可以逐一地加总这99项。而莱布尼茨的简洁解法很快就指引他得出了自己的核心定理。
假设一个人正在爬一段很长且不太规则的楼梯。如果攀登者想测量从楼梯底部到顶部的垂直高度,他如何才能做到呢?把每个台阶的垂直高度全部加起来,这种毫无创意的方法和前文中提到的把99项逐一加起来求S的做法是一样的。这样做虽然没什么问题,但因为楼梯太不规则了,所以算起来会很麻烦。
更好的方法就是使用高度计。如果图中的攀登者有一个高度计,他就可以用楼梯顶部的高度减去楼梯底部的高度来解决这个问题,不管楼梯有多么不规则,这个方法都行之有效。
我们要把这个算式的每一项都改写成两个数字之差的形式,这就好比每个台阶的垂直高度等于它的顶部高度减去底部高度。第一个“台阶”可改写为:
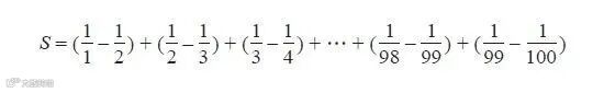
同样地,我们可以把S中的其他项都改写成连续单位分数之差的形式:
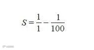
当我们把所有这些连续单位分数之差加总时,S 就会变为:
莱布尼茨意识到,他可以用同样的技巧计算任意多项分数的和。如果求和算式包含N项而不是99项,那么结果将是:
这样一来,惠更斯的无穷级数求和问题的答案就变得很清楚了:当N趋于无穷时,1/(N + 1)会趋于0,S则会趋于1。所以,极限值1就是惠更斯谜题的答案。
这一切就是莱布尼茨版本的反向问题和微积分基本定理。正如他说的那样,“求图形面积的运算过程可以简化为:已知一个级数,去求和;或者已知一个级数,去找另一个级数,后者的连续数之差与前者的各项一致。”就这样,差与伸缩和引导莱布尼茨创立了微分和积分,并得出了基本定理,正如流数术与扩张的面积引领牛顿到达同一个隐秘源泉一样。
尽管微分是思维的虚构产物,但自从莱布尼茨发明微分以来,它们就以非虚构的方式深刻地影响着我们的世界、社会和生活。
通常情况下,微积分都是在我们日常生活的背后默默地发挥着作用。就GPS而言,这个系统的几乎所有功能都取决于微积分。
想想卫星和接收器之间的无线通信,通过麦克斯韦所做的研究,微积分预言了电磁波的存在,从而使无线通信成为可能。所以,没有微积分,就不会有无线通信和GPS。同样地,GPS卫星上的原子钟利用的是铯原子的量子力学振动,而微积分是量子力学方程及其求解方法的基础。所以,没有微积分,就不会有原子钟。
微积分还是计算卫星轨道和控制卫星位置的数学方法的基础,当原子钟高速运动或在弱引力场中运动时,微积分也是把爱因斯坦的相对论改正与原子钟时间结合在一起的数学方法的基础,但我希望把重点说清楚。微积分为很多使GPS成为可能的技术研发创造了条件,当然,微积分并不能独立做到这一切。尽管它是一个配角,却是一个重要的配角。和电气工程学、量子物理学、航空航天工程学等学科一样,微积分也是这个团队中不可或缺的一部分。
微积分是用于研究任何事物的想法与方法的庞杂集合,这些事物的变化平稳而连续,符合无穷原则。该定义的范畴囊括了牛-莱的微积分理论及其子孙后代:多变量微积分,常微分方程,偏微分方程,傅里叶分析,复分析,以及高等数学中涉及极限、导数和积分的所有其他分支。
由此可见,微积分还没有完结,它和以前一样求知若渴。从阿基米德后的世代,到我们之后的世代,走向无穷。
理查德·费曼说过:“你最好学学微积分,它是上帝的语言。”
如果有什么东西称得上宇宙的奥秘,那么非微积分莫属。微积分是人类历史上的伟大思想成就之一,也是数学领域不可或缺的一个重要分支。除此之外,我们更应该关注的事实是:如果没有微积分,人类就不可能发明电视、微波炉、移动电话、GPS、激光视力矫正手术、孕妇超声检查,也不可能发现冥王星、破解人类基因组、治疗艾滋病,以及弄明白如何把5 000首歌曲装进口袋里。