搜索
首页
大数快讯
大数活动
服务超市
文章专题
出海平台
流量密码
出海蓝图
产业赛道
物流仓储
跨境支付
选品策略
实操手册
报告
跨企查
百科
导航
知识体系
工具箱
更多
找货源
跨境招聘
DeepSeek
首页
>
欧拉公式——最令人着迷的公式之一
>
0
0
欧拉公式——最令人着迷的公式之一
微波射频网
2021-03-09
2
导读:欧拉公式是数学里最令人着迷的公式之一,它将数学里最重要的几个常数联系到了一起:两个超越数:自然对数的底e,圆
欧拉公式是数学里最令人着迷的公式之一,它将数学里最重要的几个常数联系到了一起:两个超越数:自然对数的底e,圆周率π;两个单位:虚数单位i和自然数的单位1,以及数学里常见的0。
>
>
>
>
而且它对数学领的缔造也产生了广泛影响,如三角函数、傅里叶级数、泰勒级数、概率论、群论等都有她的倩影。
因此,数学家们评价它是“上帝创造的公式,我们只能看它却不能完全理解它”。
而且,这个公式对物理学影响也非常巨大,如机械波论、电磁学、波动光学、量子力学等匍匐在她的脚下;难怪物理学家查德·费曼惊呼:欧拉恒等式不但是“数学最奇妙的公式”,也是现代物理学的定量之跟,因为她把最基本的5个数学常数简洁地连系起来,而且也将物理学中的圆周运动、简谐振动、机械波、电磁波、概率波等联系在了一起......
欧拉恒等式是:
其中e是自然指数的底,i是虚数单位,π是圆周率。
这条恒等式第一次出现于1748年欧拉在洛桑出版的书Introduction,它是复分析的欧拉公式特例。
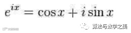
对于任意实数x,则有
令x=π代入上式,则可得出欧拉恒等式。
在欧拉公式中,虚数i占有特殊的地位,认识这个公式就需先从i开始:
虚数i大家在高中接触过,但那时我们只知道它是-1的平方根,可是它真正的意义是什么呢?
这里有一条数轴,在数轴上有一个红色线段,它的长度是1。当它乘以3的时候,它的长度发生了变化,变成了蓝色的线段3,而当它乘以-1的时候,就变成了绿色的线段,或者说线段在数轴上围绕原点旋转了180度。
我们知道乘-1其实就等于乘了两次 i,因i×i=-1,这样就使线段旋转了180度,那么乘一次 i 呢?
答案很简单:旋转了90度呗。
如果我们将这种运算放到坐标平面上来表示,则实轴与虚轴就构成了一组对称线段,我们再在0处安插一个垂直此线段的轴,这样就构成了一个平面,我们称之为复数平面;在这个平面上,我们可以看出,虚数i的功能就是旋转。
对于欧拉公式
这个公式在数学领域的意义要远大于傅里叶分析,当x=π时,则有
它对描述圆周运动的物理意义就是圆心位移为0,如下图:
这个公式的关键作用就是将正弦波统一成了简单的指数形式,我们来看看它图像上的涵义:
可见,欧拉公式所描绘的正是在复平面上做圆周运动的点,随着时间的改变,这个点在时间轴上就成了一条螺旋线。如果只看它的实数部分,也就是螺旋线在左侧的投影,就是一个最基础的余弦函数,而右侧投影则是一个正弦函数。
现代物理学告诉我们,宏观宇宙的构成本质是旋转的,带有圆周运动和自旋性;微观世界也是旋转的,也带有圆周运动和自旋性,而欧拉公式描述的核心正是旋转与频率,因此,在物理学定量意义上讲,称它是宇宙第一公式一点也不为过!
—THE END—
编辑 ∑Gemini
来源:今日头条
原创
文章:
噪声的意义及测量方法
微波场精密测量历史和里德堡原子微波电场精密测量原理
非50欧系统阻抗的S参数测试
交调失真的意义及矢网实例测量方法
增益压缩的意义及矢网实操测量方法
S参数的意义及矢网实例测量方法
学个Antenna:偶极子天线馈电及倒V天线
从电磁波产生到对称阵子天线
张跃平教授:无线电科学与技术中的因子4
【声明】内容源于网络
0
0
微波射频网
专注无线通信、微波射频、天线、卫星通信、雷达、半导体等领域。微波射频产学研交流平台 - 射频行业知名媒体
内容
2527
粉丝
0
关注
在线咨询
微波射频网
专注无线通信、微波射频、天线、卫星通信、雷达、半导体等领域。微波射频产学研交流平台 - 射频行业知名媒体
总阅读
2.0k
粉丝
0
内容
2.5k
在线咨询
关注