RF测试笔记是业界一线工程师们通过理论和实践相结合的方式介绍射频微波测试技术的专栏,主要涵盖噪声系数、数字调制、矢网、频谱分析、脉冲信号等内容。如有想看到的内容或技术问题,可以在文尾写下留言。
1. S参数依赖于系统阻抗
S参数的定义需要约定一个系统阻抗。同一个微波电路,在不同系统阻抗下的S参数是不同的。例如,50欧电阻在50欧系统阻抗下的S11为零,是没有反射的匹配状态;但50欧电阻在75欧系统阻抗下的S11不为零,是有反射的不匹配状态。对于单端口待测件,反射系数 Γ 可由负载阻抗 Zl 、系统阻抗 Z0 进行计算

由公式计算可知,50欧电阻在75欧系统阻抗下的反射系数线性值为-0.2,对数值约为-14dB。
目前射频微波领域应用最为广泛的系统阻抗为50欧,但也使用一些其他的系统阻抗。例如,在广播电视领域广泛应用75欧系统阻抗;USB标准中使用85欧和90欧的差分阻抗,对应的单端阻抗为42.5欧和45欧。矢量网络分析仪的端口阻抗为50欧,应该如何测量非50欧系统阻抗的S参数呢?
2. 阻抗转换器
为了使用50欧端口阻抗的矢量网络分析仪测试75欧系统阻抗的待测件,可以使用阻抗转换器将矢网的端口阻抗转换为75欧。阻抗转换器是一个L型的匹配网络,它使得从75欧端口看去,原50欧阻抗变为了75欧,不存在反射;同样从从50欧端口看去,原75欧阻抗也变为了50欧。

图1. L型阻抗转换器(Z1>Z2)
L型的阻抗转换器需要实现从两个方向看去都是无反射的状态,需要满足
1). R2和Z2并联,再与R1串联后的阻抗等于Z1
2). Z1和R1串联,再与R2并联后的阻抗等于Z2
当Z1=75欧,Z2=50欧时,R1=43.3欧,R2=86.6欧。整个阻抗转换器的损耗约为5.7dB。
使用50至75阻抗转换器测量非50欧系统阻抗的待测件还是具有以下的缺点:
1). 阻抗转换器为额外的硬件,没有数学转换方便;
2). 测试系统还需要75欧的校准件和测试线缆;
3). 阻抗转换器具有损耗,会降低矢网的性能;
4). 只能覆盖一种特定系统阻抗,难以推广至任意的系统阻抗。
3. 使用数学方法进行系统阻抗的转换
如果可以使用数学算法进行系统阻抗的转换,测量非50欧系统阻抗的待测件就会方便很多。我们可以测量此待测件在50欧系统阻抗下的S参数,再通过数学方法变为任意其他系统阻抗下的S参数。
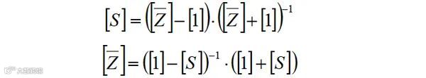
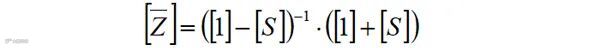
S参数矩阵在不同系统阻抗之间转换没有简单的数学公式可以实现。为了简化对此问题的理解,我们可以借助Z参数矩阵(即阻抗参数)来理解。阻抗参数可以不依赖系统阻抗,称为阻抗参数[Z];也可以按照系统阻抗进行归一化,称为归一化的阻抗参数
。如果各端口的系统阻抗均为Z0,则

可见Z参数不依赖于系统阻抗,Z参数按某一系统阻抗归一化的公式很简单。归一化Z参数在不同系统阻抗之间切换也非常的简易。同时按某一系统阻抗归一化的Z参数
与此系统阻抗下的S参数[S]之间可以通过公式进行转换。

因此,我们可以按此步骤理解在数学上如何实现S参数在不同系统阻抗之间转换。
1). 首先将50欧系统阻抗(记为Z0)的S参数转换为50欧归一化的Z参数;

2). 将按50欧归一化的Z参数转换为不归一化的Z参数;

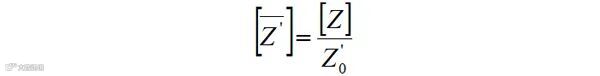
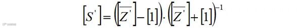
3). 将Z参数按其他系统阻抗Z0'归一化,归一化后记为
;

4). 将按系统阻抗Z0'归一化的Z参数
转换为S参数[S']。

4. 矢网实测结果
将S参数在不同系统阻抗之间转换的数学计算非常复杂,但其实际操作却非常简单。矢量网络分析仪支持修改系统阻抗,这样就可以显示任意系统阻抗的S参数。
首先,矢网测量得到50欧系统阻抗下的S参数。下图为50欧双阴直通的测试结果,S11约为-35dB,S21约为-0.01dB。

图2. 50欧系统阻抗时的测试结果
然后,在矢网的设置中修改系统阻抗。

图3. 矢网修改系统阻抗的设置界面
最后,修改系统阻抗后S参数曲线数值会发生变化,得到其他非50欧系统阻抗的S参数。从下图中可以看出,当系统阻抗修改为75欧后,Z参数不变,而S参数发生变化。S11由-35dB变为约-13.5dB,S21由-0.01dB变为约-0.2dB。S11变化后的结果与理论计算的50欧负载在75欧系统中的反射系数一致。S21的变化则是由于有轻微的反射导致的传输系数下降。

图4. 75欧系统阻抗时的测试结果
以上便是要给大家分享的内容,希望对大家有所帮助~~
作者:皓月
蓝牙BLE和Wi-Fi测试
现货供应:最高频率可达110GHz的转接器、衰减器、负载、隔直器、波导同轴转换器等
| 1.0mm | 1.85mm | 2.4mm | 2.92mm |
| 3.5mm | N头 | SMA | SMP |
| SSMA | SSMP | 力矩扳手 | 接头防护 |
一文了解常用的微波传输线(二):矩形波导、集成波导、圆波导、矩圆转换器仿真
贴片天线的HFSS和CST仿真对比
HFSS-API入门第二弹:基本形状和操作
巧用HFSS脚本录制功能
平面口径天线简谈
贴片天线的特征模分析及其应用
模拟和矢量信号源进阶使用技巧
IQ正交调制器基础知识和测试详解
学个Antenna:Wi-Fi双频金属中框天线
学个Antenna:手机天线之宽带匹配原理
学个Antenna:手机天线入门

