本文共计六部分
1.前 言——讨论为啥要做低噪放
2.基本概念——认识什么是低噪放
3.通识技术——讨论常见的设计方法
4.流行技术——浅析低噪放常见的研究动态
5.工程技术——演示基于仿真工具演示综合方法
(全文阅读大概需15分钟,如果您能静下心来用电脑阅读30分钟以上,且能参考本文去设计低噪声放大器了,这将是我逐字地码这篇文章最大的荣幸。不求倾盖如故,但求一起进步)
——————————————————
低噪声放大器(Low Noise Amplifier, LNA)通常用于无线电子系统的接收机前端之中,如我们在之前的推文《1.3万字详解射频微波芯片设计基础知识》中,我们详细讨论了射频发射机、接收机的常见架构,在接收机系统中,低噪声放大器常常为处于天线之后的第一个元器件,其性能优劣直接决定着接收机系统整体的噪声系数、灵敏度指标的好坏。
我们翻开本土射频IC领域的排头兵企业的发展历程,不难发现,低噪声放大器成为了诸多RFIC/MMIC企业成功的奠基石,如某胜微,某为电子在射频领域有着多款可以与国外大厂扳手腕的LNA产品,当然最近科创板许多上市的射频微波公司也有不少低噪放的芯片作为其核心产品。
言归正传,对于我们设计开发人员而言,一款性能优异、工作稳定的低噪声放大器芯片又该怎么去设计呢?当拿到一个设计任务,面对设计流程和设计方法不熟悉的我们,是不是有种剪不断理还乱的感觉:


或者,当我们参考现有的教材、论文以及各种论坛里面的设计流程,利用EDA工具一顿操作猛如虎,完成了一次又次Beautiful的指标仿真验证,然后经过数月漫长的流片等待,终于有一天心心念念的片子回来了,我们满怀期待地走上了探针台,准备测试,但是当测试时的我们,看着第一次做的片子很可能是这样的:



绝望的你是不是拍着大腿不由感叹着“一顿仿真猛如虎,一看测试成了土”,似乎完成一款性能良好,工作稳定的低噪声放大器芯片设计,成了入门RFIC/MMIC领域不得不面对的一座不太容易逾越的大山。
针对上述两大问题,本文的主要目的有:
(1)夯实基础——给工作繁忙的一线从业人员,温故常见的LNA基础知识,设计流程,设计思路;
(2)梳理流程——给入门的萌新们梳理LNA设计方法和具体步骤,提供基于ADS仿真设计LNA芯片的工程文件,抛砖引玉,给想从事RFIC/MMIC行业的朋友们提供一个学习参考;
(3)总结经验——介绍最新的低噪声放大器的研究动态和常用的工程实现手段,通过具体案例讲解,给从业人员展示了一些LNA性能不断提升的通道;
全文主要按照如下行文组成:
(1)前言部分,笔者总结了常见的LNA基础知识和基本概念;
(2)基本概念部分,这小节主要讨论LNA的概念,性能指标,以及常见的设计流程;
(3)通识技术部分,主要讲解分析LNA设计中所需要用到的匹配技术,常见架构,等增益圆,等噪声圆,稳定性判别圆;
(4)流行技术部分,主要根据目前最新的论文、专利,总结了LNA的研究动态和技术手段;
(5)工程技术部分,为了方便大家快速学习LNA的设计方法,本文基于0.15 μm GaAs pHMET工艺来讲解片上低噪声放大器芯片的设计思路,设计流程,以及工程实现的方法。最后,分享了本次基于ADS仿真软件的LNA工程文件以及相关使用说明(文末扫码识图加小编好友,可获得下载权限,当然小编也会咨询大家意见,将大家拉入学习讨论群)。

本小节主要给大家温故一些低噪声放大器的基础知识,包括放大器的定义,常见的衡量指标(比如稳定因子,增益,噪声系数,功耗,面积等等),希望大家可以快速掌握“什么是低噪声放大器”的问题。
低噪声放大器定义:

低噪声放大器,往往被用于接收机系统的第一级,根据之前的博文里面的接收机灵敏度理论计算公式,可以得出这样一个结论:接收机的灵敏度好坏,主要取决于第一级低噪声放大器的噪声系数的高低。
那么什么是低噪放呢?

顾名思义,当我们咬文嚼字时不难发现低噪声放大器首先是一个放大器,而放大器是一种将微弱信号进行一定倍数放大的器件,然后这个放大器主要考虑的是当放大信号的时候,尽可能小地引入噪声。
低噪声放大器主要指标:
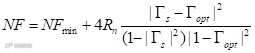
(1)噪声系数
噪声系数主要是衡量低噪声放大器引入噪声大小的一个指标,如果我们对LNA电路里产生的噪声来源不清楚,可以按照黑盒子定义法,把其直接定义为输入信噪比与输出信噪比的比值:

为了在实际工程中表示方便,我们通常采用dB值来表示噪声,即对上面的噪声F取一个对数

当然,如果读者朋友们如果想要深入探讨下噪声的来源,可以参看我们上期的内容《射频电路中的噪声概论》。接下来我们省去中间推导过程(感兴趣的朋友可以参看之前推荐的经典教材),直接给出单级放大器的噪声系数的求解公式值如下:

这几个基本上就是我们后续匹配到最佳噪声系数(即NFmin)时对应的最佳源反射系数、管子输入端的源反射系数以及管子的等效噪声电阻。
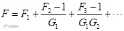
当然,在设计低噪声放大器时,我们时常需要有较高的增益,此时大多需要用过多级级联来实现,那么噪声的级联公式如下:

由上面的式子可以看出,由于放大器增益的缘故,整个放大电路的噪声贡献主要来源于第一级放大器,因此第一级放大器需要有较好的噪声系数和增益。
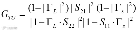
(2)放大器的增益

如上图所示,我们把放大器晶体管(场效应管)等效为一个S参数矩阵,然后绘制出其信号流图,然后为了概述简洁,以及避免大家被绕晕,本文对其具体的推导过程不在详细展开,这里主要给出几个增益表达式并给出简单的解释:
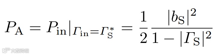
信号源的资用功率:输入阻抗与信号源的内阻符合共轭匹配条件,即进入晶体管网络的功率达到最大,此时我们可以把输入口叫做信号源的只用功率(单独拎出来的原因,主要是因为我们后续定义放大器相关增益的概念要用到):

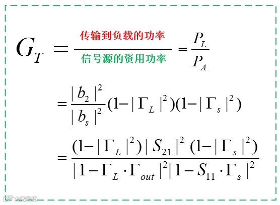
转换功率增益:我们把传输到负载的功率与信号源的资用功率之比叫做转换功率增益。怎么理解呢?其实就类似于当我们出生一样,都是命运给予了最好的恩赐(放大网络得到了信号源的资用功率),至于最终有没有悟道,有没有得到自己想要的目标,就看个人的修行了,当生命来到终点时,回顾自己走过的人生,得到的与出生时拥有的比值就是我们的转换功率增益了。根据定义以及上图的信号流图,我们可以得到如下的转换功率增益的表达式:

单向化功率增益:这个就是承接上面的额转换功率增益的,当忽略放大器的反馈效应的影响,即S12=0,这也是我们分析放大器工作,输入输出匹配的基础,我们可以得到单向化功率增益的表达:

资用功率增益:这个在上面算转换功率增益的基础上,我们把负载也弄成了共轭匹配,也就是说其应该是网络的资用功率与信号源的资用功率之比,那么可以定义为:

功率增益:这个定义就比较直接明了,就是负载吸收的功率与放大器的输入功率的比值:

(3)工作带宽
对于工作带宽的定义在我们之前的《耦合器芯片》一文中就有介绍,那么我们的放大器的带宽定义还是类似,也可以根据传输函数曲线的幅度最高观测值下降1dB和3dB两种方式来定义1dB带宽和3dB带宽:

(4)1dB压缩点与3阶交调点
关于1dB压缩点和3阶交调点的定义我们再之前的《1.3万字详解射频微波芯片设计基础知识》一文中也有讲到,如下图所示:


放大器通常关注实际增益比理论上的线性增益少1dB的位置,就被称之为1dB增益压缩点。该点对应的输入、输出功率一般分别标记为 P 1dB,in 和 P 1dB,out。


如上图所示,在放大器中当有两个及其以上的信号时,由于系统的非线性特性,会产生多个频率分量,输入信号pin(f1)和pin(f2)除了产生输出信号Pout(f1)和 Pout(f2)之外,还产生了新的频率Pout(2f2-f2)和pout(2f2 -f1) , 称为三阶交调输出。
(5)直流功耗
对于有源电路而言,我们除了管芯电路的电性能指标,对于其工作的电压,电流也是比较关注的,一般而言我们希望整个电路在满足性能指标的同时其功耗越小越好。不过我们在设计电路时往往是一个折中的过程,这就需要设计人员不断优化管子参数以期实现最佳状态。
(6)芯片面积
我们都知道北上广房价飞上了天,但芯片单位面积的价格可比这个贵多了,重节约成本的角度来说我们需要尽可能地减小芯片面积,但是减小面积的同时也需要注意电磁耦合带来的负面效应。
低噪声放大器的设计流程

本小节咋门主要聊下如何来掌握低噪声放大器设计索要具备的基础知识,当然由于篇幅原因,很多知识点我们就点到为止,更多的知识,大家随便翻开一本几十年前的射频微波专业书籍就可以看到的,本文主要挑选了如下图所示的几个点,抛砖引玉:

GaAs pHEMT的小信号模型:
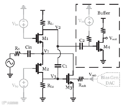
我们设计低噪声放大器时常需要考虑寄生参数带来的影响的,为了研究清楚管子内部的电路结构,本文给出一个业界常用的GaAs pHEMT管子小信号模型,该模型对于分析电路的各种参数的分析还是有不错的指导意义的,后续我们设计也将采用该类管子进行设计。

其中gm为管子的有效本征跨导,Rgs为栅源沟道电阻,Rds为漏源输出电阻,绿色虚线框外的电阻Rg,Rs,Rd为管子外围连接金属化时引入的寄生电阻,同理,Lg,Ls,Ld为管子外围连接金属化时引入的寄生电感;Cgd,Cds,Cgs是与管子finger数和偏压有关系的本征电容,在选用管子的栅指数时需要综合考虑截止频率,增益,噪声以及寄生效应等。
低噪声放大器常见架构:
不失一般性,我们这里主要讨论常见的单级放大器架构分类,其他最新的多级放大器架构我们在后续的博文中会提及。

上图为我们在实际工程中常常用到的单级放大器电路结构,共栅放大器可以实现较宽带宽,但是其噪声系数需要有所牺牲;源简并共源放大器结构简单,不过阻抗匹配电路的设计相对要困难一些;Cascode共源共栅放大器结合了两者的优点,但是存在Miller效应,在实际设计时可以增大压缩管的尺寸来降低Miller效应,不过此时会使得漏极的电容增大,引入的噪声加大,因此在选管子需要反复调试,达到多个指标的折中。
稳定性判别圆
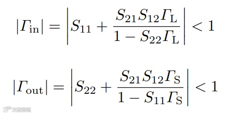
在射频微波频段设计放大器与低频不同,在低频主要是通过相位裕度和增益裕度来判定放大器是否稳定,在射频微波频段我们主要通过稳定性判定圆或稳定因子来判定。
在聊放大器的稳定性之前我们玩一个小游戏,我先抛砖引玉一个小问题,大家来思考下:大家都知道,在设计LNA时一般要满足K>1,|deta|<1,此时放大器就无条件稳定了,那么这个小问题很简单,就两个字——“为啥”???


为了大家不打瞌睡,在分析放大器稳定性时,我们继续忽略具体的推导过程,主要给出一些结论,如果大家有什么不懂的可以加群讨论学习,一起进步。我们还是承接上文中提到的放大器模型,只用保证如下公式即可满足稳定条件(信号在上文网络里面的所以端口均表现为良好的传输特性,没有大于1的情况,因此可以认定其稳定):


即有:

当我们的放大器的S12较小时,我们就假定放大器为单向放大,此时只用S11与S22的模值小于1,即,此时输入输出端口的反射信号小于入射信号,放大器不会发生自激振荡。不过很多时候,S12不为0,这个时候我们再来分析稳定性相对而言就要复杂一些。
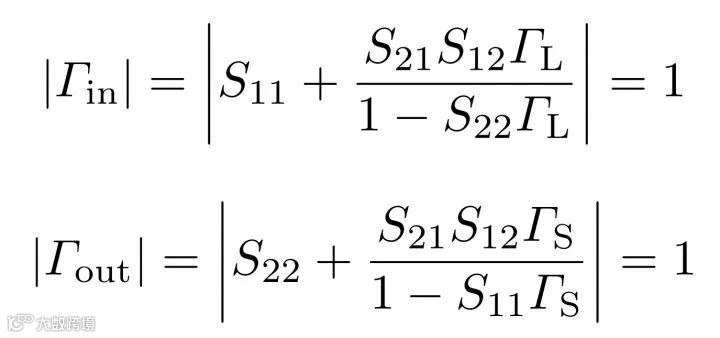
对于放大器网络里面的四个反射系数,我们先假定in和out的一个临界状态,即:


此时,我们可以得到两条分别关于负载反射系数和源端反射系数的两条圆曲线,也就是|Γin|=1,与|Γout|=1分别映射到与上面的圆,此时为了对公式看起来更加清爽一些,我们对上面的公式重新变换定义一下:

这里我们就定义了在ΓL与Γs平面上面的圆的圆心(实部和虚部)以及圆半径,那么我们就可以这样理解:我们在平面的单位圆绘制出来,然后根据ΓL=0时,可以得到|Γin|=|S11|,如果此时|S11|<1,那么就可以得到的单位圆内部为稳定区,此时对于稳定性判别圆有两种情况:
①输出判别圆|Γin|包含圆点(需要注意的是,上面的公式表明输出判别圆是与ΓL相关的,输入判别圆是与Γs相关的,这里大家千万别被绕进去了),此时我们可以得到放大器的稳定区为两圆相交处,如下图阴影部分所示:

②输出判别圆|Γin|不包含圆点,此时我们可以得到放大器的稳定区为单位圆内且输出判别圆外处,如下图阴影部分所示:

对于输入的稳定圆判定也是相同的道理,本文就不在赘述。下面讨论下绝对稳定的判别圆图解法(公式判别法很简单,就是上文提到的小问题里面的那个),我们知道绝对稳定是放大器稳定的一个特例,主要就是指在频率等一定的条件下,放大器在ΓL和ΓS的整个史密斯圆图内都处于稳定状态。也就是说,ΓL和ΓS选择任意绝对值小于1的数时,均可以保证放大器稳定,反应到稳定性判别圆上来说的话就是当|S11|<1且|S22|<1时,放大器满足下面的条件之一时,放大器绝对稳定:
①输出稳定判别圆包含ΓL的单位圆图,输入稳定判别圆包含ΓS的单位圆图,即:

②输出稳定判别圆位于ΓL的单位圆图外,输入稳定判别圆位于ΓS的单位圆图外,即:

等增益圆
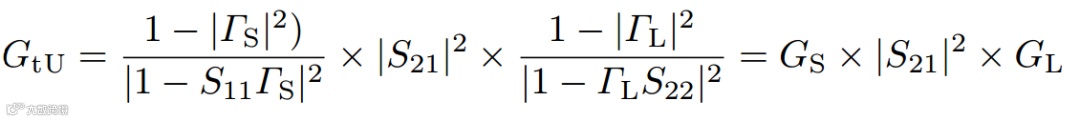
在放大器的设计中,为了简化设计流程,同时由于S12与S21相比是很小的,因此我们假设晶体管网络的S12为0,这样可以得到放大器的单向传输得功率增益表达式:

其中

进一步地,我们知道(可以翻开一些教科书去查看相关证明)ΓL,ΓS在不同状态下,可以表达成有着不同的等反射系数圆,进而可以导出等增益圆。如下图所示,等增益圆的用途主要还是在设计放大器增益和噪声时配合使用。

等噪声圆
我们知道放大管的噪声系数的表达式如下所示:

恒噪声系数圆表示了在保持放大器的噪声系数不变的情况下源输入反射系数ΓS的取值范围,同样的道理,等反射系数圆可以表示为:

其中圆心为

半径为

QF为:

最后我们可以得到等噪声系数圆的表现形式,该圆图与等增益圆配合使用,威力无穷

匹配禁区
谈到匹配禁区这个古老的概念,或许我们在日常工程设计中遇到的概率较小,但是一旦工程师们使用二元器件构建L型匹配电路时,那么很有可能就会匹配不了的情况,即,在特定条件下很可能让你的电路端口阻抗处于匹配禁区。
在之前的一期我们谈到了Smith原图匹配的方法,同时给出了如下图所示的示意图和匹配口诀:

并联电感:沿着等电导圆逆时针移动;
并联电容:沿着等电导圆顺时针移动;
串联电感:沿着等电阻圆顺时针移动;
串联电容:沿着等电阻圆逆时针移动。
但是,假如我们采用的是二元器件构建匹配网络,如下图示:

图片来源:《射频电路设计--理论与应用》
那么当我们的端口源与负载阻抗为50欧姆时,此时如下图所示,当匹配电路为L型二元器件时,阴影部分是莫法匹配到50欧姆的:

图片来源:《射频电路设计--理论与应用》
可能又有朋友会问了,大哥,你说得轻巧,这玩意为啥不能匹配啊?嗨,这还得从遥远的Smith原图说起,大家可以参考下上面我们给出的匹配口诀,理解下各个L型匹配禁区的阴影部分取图吧,有问题可以入群讨论。
好了,本文放大器的通识技术部分就到此,通识技术按理说应该还有很多很多,本文就主要节选了部分知识,其他相关的知识,大家下来可以自行查阅,下面我们就将进入流行技术小节。
谈到流行技术不是说这些技术本身有多么地特别,多么流掰,而是针对特定需求,大家目前比较关注的一些设计方法和技巧。当然,目前市面上的射频微波IC公司的竞争趋于白热化,很多公司已经开始二轮甚至N轮融资阶段,在未来几年除了头部企业也将倒下一批批初创公司(有核心竞争力的或被合并),之前靠有名校&名企经历的创始人背书,针对市场已有芯片产品做局部工作,即,通过做产品出来靠拼成本来替换别家产品的模式(当然这个是也是之前“国产替代”主旋律),将会逐渐变得苍白无力,在目前甚至说在未来很长一段时间,一款性能独特的具备跨代竞争力的射频芯片将会是公司突出红海重围的一大着力点,当然于工程师而言,具备成功的流片经验以及能够把握住产品的研究热点&卖点,也会是咋门安身立命&升职加薪的一大利器,本文抛砖引玉,主要介绍如下几种较为流行的技术,以飨读者朋友们:
(1)噪声消除技术
早在2004年由荷兰Twente大学的Ferico Bruccoleri(目前在Catena Microelectronics任职)提出了一种噪声消除的技术,其核心思想就是通过引入辅助的放大支路,有效地消除电路主路中的场效应管(晶体管)的沟道噪声,进而降低噪声系数。Ferico Bruccoleri在2005年著有《Wideband Low Noise Amplifiers Exploiting Thermal Noise Cancellation》一书,书中详细地解释了关于低噪声放大器中的噪声来源以及如何有效消除,大家感兴趣可以去自行下载查阅,当然也可在文末扫描码加小编好友,免费索取。
由于篇幅原因,本篇博文就简单聊下噪声消除技术引入的主要背景:其实我们阅读相关噪声消除技术的由来可以发现,其技术的引进主要是用于无电感的宽带低噪声放大器结构中(射频低频端的电路隔交或者匹配电感较大,比较占面积,因此利用无电感技术可以实现芯片面积的压缩),这类低噪声放的一个显著特征就是利用了放大管自身的一些特性来实现宽带和阻抗匹配,但是由于采用了有源管子来实现匹配,必然会引入额外的噪声,此时我们就需要想办法尽可能地消除掉该噪声,此时噪声消除技术运营而生。
那么噪声消除技术到底是怎么实现的呢?如上文提到的,基于Ferico Bruccoleri提出的核心思想,后期的研究者们不断地演变了各种实现方法,在文献1(文献ID见文末)中,聊到了典型的噪声消除LNA,如下图所示:
(a)

(b)
图片来源:文献1
其中(a)为典型的电阻串联负反馈结构的LNA,利用反向放大管选取合适的输出节点得到反相的噪声和同相信号,最后矢量叠加便可以消除噪声。而对于(b)中则是一个差分输出结构,利用输出有源管实现对CG管的宽带匹配,然后噪声相位不变但是在差分口可以将其抵消。进一步地,为了实现在较为宽带的范围内实现噪声消除,在文献2(文献ID见文末)中,提到了多路噪声相消的技术,如下图所示:



图片来源:文献2
那么国内最近几年对噪声消除技术的研究也较多,比如2017年清华大学的Zhijian Pan博士发表在TCAS-I上面的一文(文献3,文献ID见文末),利用交叉耦合Push-pull结构实现了0.1GHz~4.3GHz的无电感低噪声放大器,同时采用有源管进行噪声消除,实现了全频段最小噪声小于3.5dB,通过无电感处理实现了整体芯片面积小于0.05mm2。


图片来源:文献3
除此之外,2017年电子科技大学Benqing Guo博士发表在JSSC上的文献4(文献ID见文末)以及该校Zhixian Deng博士在2021年发表在JSSC上的文献5(文献ID见文末)也值得一看。
那么,朋友们又会问了,既然噪声消除技术这么好使,为啥我们的放大器在设计的时候还是有不小的噪声啊?而且甚至有些微波毫米波LNA就算用了噪声消除技术,貌似还没有传统的CG或者Cascode结构的噪声好,这是为啥???这个问题大家可以自己想一想,也可以参考上一期我们聊到的噪声来源,去分析到底消除的是什么噪声,除此之外,我们还要弄明白我们之所以使用噪声消除技术的初衷(duang~duang~duang提示:芯片面积,带宽,噪声)。
(2)超宽带(UWB)技术
相信大家对UWB技术还是不陌生的,就在一两年前,我们就还常常看到这样的新闻“搭载UWB技术的iPhone可以对AirTag实现更加精准的定位”,“基于“一指连”小米UWB技术,智能设备具有空间感知能力”,UWB技术曾经在工业级的多模式、多系统融合中扮演着举重轻重的作用,而如今又被iPhone的精准定位技术重新点燃了大家对其消费电子领域的应用热情。一般而言,我们的UWB技术由于其抗多径抗干扰能力突出,穿透力强,因此在室内高精度定位,加密、身份认证以及通信测距等领域都有着广阔的应用前景。
国内目前UWB芯片赛道的公司也挺多,特别是2022年,由深圳市纽瑞芯科技发表在ISSCC上面的一篇1发3收UWB超低功耗芯片值得大家关注:

回到UWB LNA上来,下面我们将来聊聊类似六脉神剑的UWB放大器设计的招式(本文主要给出六种招式,招式不分先后高低,大家请按需学习,不要走火入魔):
第一式——负反馈式
说到负反馈式,一般我们会有并联电阻负反馈,基于变压器的负反馈,以及有源负反馈结构。大家伙儿在看N多年前的教科书的时候,最为熟悉的莫过于并联电阻负反馈式的架构,该电路设计简单,调试方便,可以实现多倍频程的LNA,是大多数UWB LNA的较好选择,为了给大家一个领进门的直观感受,这里给出一篇2018年的发表在IEEE TCAS-I上面的一款基于0.15um GaAs pHEMT工艺的DC~20GHz并联电阻负反馈式低噪声放大器,该文献6(文献ID见文末)具体如下图所示:



图片来源:文献6
当然,除了并联电阻负反馈,我们在设计中也可以采用有源负反馈来实现,比如加拿大CIENA公司的Mahdi Parvizi 等人于2016年发表在IEEE TMTT上面的文献7(文献ID见文末),利用有源反馈拓展带宽,实现了一款工作在0.1~2.2GHz的LNA,同时为了减小功耗,有源负反馈复用了输入放大管的电流,整个芯片功耗为0.4mW,文献7中的LNA具体电路结构如下图所示,该芯片面积为0.0052mm2:




图片来源:文献7
第二式——分布式
说到UWB放大器技术,其中最为简单粗暴的莫过于分布式技术了,该技术虽然功耗较大,但是可以实现DC到上百GHz的超级宽带的LNA,该类放大器实现超宽带的核心原理在于将有源管处理成一个电容,通过外接电感,实现把整个放大器等效为传输线的效果(一般传输线的工作带宽是很宽的)。
为了形象地展示该技术的可实现性,这里给出一篇2020年发表在IEEE MWCL上面的参考文献8(文献ID见文末),在文献8中,作者Omar El-Aassar利用45nm RFSOI CMOS工艺实现了一款工作在DC~120GHz的放大器,整个芯片面积在0.51mm2,而其输出饱和功率在20GHz、40GHz、60GHz实测值均超过21dBm。




图片来源:文献8
第三式——电感峰化式
早在上世纪40年代,我们日常生活中见到的电视显像管中便有了电感峰值技术增大带宽的身影。那么电感峰化拓展带宽的核心点就在于将放大器的多个传输极点按需分布在宽频带范围内,进而拓展带宽。同样,我们这里给出一篇于2006年发表在IEEE JSSC上面的一篇参考文献9(文献ID见文末),该文献利用0.18um CMOS工艺,利用漏极多电感峰化传输响应曲线,最终实现了一款1.3~10.7GHz的超宽带低噪声放大器。




图片来源:文献9
第四式——共栅(基)结构式
共栅(基)结构因其输入阻抗为1/gm,我们只用稍微调整下放大管的栅指,栅宽就可以实现对输入阻抗的良好匹配,进而实现宽带的效果,但是其噪声系数相对与共源(射)结构要大一些,因此这是一个折中的设计过程。
同样,我们这里给出一篇于2013年发表在IEEE TMTT上面的参考文献10(文献ID见文末),该文献采用0.18um CMOS工艺,利用共栅技术与双反馈交叉耦合技术相结合,实现了一款工作在2.2~12.2GHz的超宽带低噪声放大器,该放大器噪声系数全频段小于2.6dB,功耗为7.4mW,IIP3在0dBm左右:




图片来源:文献10

感谢您能耐心看到此处,希望上面的文章内容对您有一点点帮助(如果你是快速滑动手机到此处的,没关系,精彩继续),后文安排如上图所示,将继续介绍最新的LNA技术动态,演示LNA的工程实现方法,力争完整呈现LNA的设计过程,也希望能得到您的持续阅读。
当然,文中很多知识点可能没有抽包华子的快感,也没有喝杯茅子的畅爽,本文主要以总结提炼、引导为主,力争成为你的家庭教师,不求倾盖如故,但求一起进步(不敢想,现在小学生补习费已经100元+/小时了)。当然绝大多数人还是喜欢白嫖的,免费的东西鲜有珍惜,为此大家喜欢本文就支持下,继续阅读后文的LNA具体设计,不喜欢划过就OK,一切随缘。
(温馨提示:加入收藏,可永久下载复习观看;文末扫码入群,一起学习)
第五式——阶梯滤波器式
这类技术基本上就是我们传统的LC匹配电路的升级版,我们知道单个LC谐振匹配电路的带宽有一个Bode-Fano约束条件,一般不能将工作带宽做到无限制的宽,为了拓展LC匹配网络的带宽,研究人员通过加载多级阶梯式滤波结构实现了对低噪声放大器工作带宽的拓展。

