文/梁锋、赵德刚,中国科学院半导体研究所
氮化镓(GaN)基材料被称为第三代半导体(包括InN、GaN、AlN及其合金等),禁带宽度从0.7-6.2 eV,其光谱范围覆盖了从近红外、可见光到深紫外全波段,在光电子学领域有重要的应用价值。其中,GaN基蓝光LED的发明直接引发了照明技术和产业的革命,三位日本科学家赤崎勇、天野浩、中村修二获得了2014年度诺贝尔物理学奖。作为另外一种高端光电子器件,GaN基激光器具有波长可调、能量集中、效率高、体积小、可大规模生产等优点,在激光显示、激光照明、激光加工、水下通信、生化检测等领域具有广泛的应用前景。
自从1995年日本的日亚公司研制出世界上第一只GaN基激光器以来,经过多年努力,GaN基蓝光激光器已逐步实现商业化。然而,高性能GaN基绿光激光器和紫外激光器仍然是研究难点。对于绿光激光器来说,调控光场与抑制光学损耗则是研究重点之一。中科院半导体所先后研制出国内第一支GaN基蓝光激光器和紫外激光器,也研制出GaN基绿光激光器,并公开报道了长寿命GaN基激光器,对GaN基激光器有自己的理解和认识。
高性能GaN基绿光激光器的研究难点
众所周知, GaN基绿光激光器是高难度的半导体光电子器件,这主要有四方面原因:
GaN与InN材料的互溶性差,导致高铟含量的绿光量子阱难以生长;
随着量子阱中铟含量的增加,量子阱与势垒之间的晶格失配增加,极化引起的量子限斯塔克效应 (quantum confinement Stark effect)增强,导致电子与空穴波函数的交叠减少,增益降低;
高铟组分绿光量子阱更易受高温影响,因此高温p型层的外延生长可导致量子阱退化,降低发光效率;
随着激光波长的增加,波导层与限制层的折射率差减小,限制层对光场的限制作用减弱,导致绿光激光器存在严重的光场泄漏。
其中,光场泄漏引起的光学损耗是阻碍绿光激光器技术发展的重要因素。早期的研究表明,采用GaN同质衬底、厚n- InGaN为波导层、厚GaN为限制层,可以降低GaN基绿光激光器的光场泄漏、提高激光器性能。因此,研究光场分布、抑制光场泄漏,对于 GaN基绿光激光器来说非常重要。
光场分布如何影响绿光激光器特性?
下面我们先来了解一下绿光激光器的基本结构和光场分布。
GaN基绿光激光器结构复杂、技术难度很大,其基本结构如图1所示。

图1 GaN基绿光激光器结构简图
激光器光场分布影响激光器的光场限制因子与增益,进而影响器件特性。有源区的光场分布比例越高,激光器限制因子越大,增益越高,器件性能越优异。然而光场分布受诸多因素影响,其中限制层、波导层则是主要因素。
因此,综合设计限制层和波导层厚度及组分可以调控激光器的光场分布、降低光场泄漏,也是提高激光器性能关键之一。因此,采用LASTIP进行理论计算,分析器件输出特性,为激光器结构设计提供理论支撑。
那么,如何改善光场分布,从而提高绿光激光器输出特性?从两个方面来提高:
01
提高n型限制层厚度
GaN基绿光激光器光场泄漏发生在n型区域,提高n型限制层厚度可以改善光场分布。

图2 激光器的光场分布(a)、光学限制因子(b)、光学损耗(c)及光功率(d)。图(a)中灰色标记区域为GaN衬底。
图2表明,随着n型限制层厚度增加,光场强度的峰值明显远离GaN衬底,光场被压缩,光场泄漏的现象基本消除。
因此,适当增加n型限制层厚度可以增强n型限制层对光场的限制能力,抑制光场泄漏,提高光学限制因子,降低光学损耗,进而改善激光器输出特性增强光场限制能力,提高激光器输出特性。
02
提高波导层厚度
提高下波导与n型限制层之间的折射率差可以增强光场限制能力,改善器件性能。

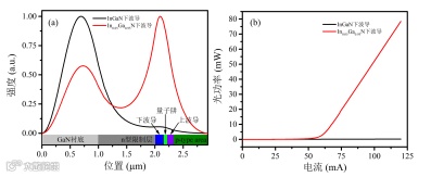
图3 激光器的光场分布(a)与光功率-电流(PI)曲线
图3表明,采用GaN下波导时,光场泄漏严重,光学损耗大,增益小于损耗,导致激光器并未激射。然而,采用In0.05Ga0.95N下波导时,光场泄漏减少,激光器实现电注入激射。这是因为采用高组分InGaN下波导时,限制层与波导层之间的折射率差增大,增强光场限制作用,从而改善激光器输出特性。

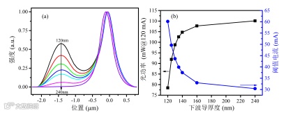
图4 激光器的光场分布(a)与光功率与阈值电流(b)。其中,下波导In0.05Ga0.95N。
提高波导层厚度可以增强光场限制作用。图4表明,增加波导层厚度时,光场泄漏现象得到明显抑制,激光器性能得到明显改善。光场泄漏降低时,光场限制因子增加,即有源区内光场分布的比例增加,降低光学损耗,从而导致激光器光功率增加、降低阈值电流。因此,采用厚层下波导可以调整光场分布,改善激光器输出特性。
综上所述,设计波导层与限制层的组分及厚度可以调控光场分布,抑制光场泄漏与光学损耗,从而改善GaN基绿光激光器的输出特性。
封面来源:www.techina2025.com
往期推荐
END
特色栏目
扫码关注我们
光电汇媒体以原创文章专注发布激光光学领域的市场分析、光电器件和技术的专业解答、一手资讯、线上直播等信息,让光学人快速读懂光电圈。
免责
声明
本文注明来源为其他媒体或网站的文/图等稿件均为转载,如涉及版权等问题,请作者在20个工作日之内联系我们,我们将协调给予处理。最终解释权归光电汇所有。
请联系oepn@siom.ac.cn
商务合作,请联系
季先生 18018304797
觉得有用,请点这里↓↓↓





