诱导偶极矩是指当外电场存在时,分子或原子的电子电荷密度和核几何构型偏离其平衡位置,从而产生的偶极矩。这种偶极矩的方向与外电场的方向相反,是分子或原子对外电场响应的一种表现。
As shown below👇
诱导偶极矩
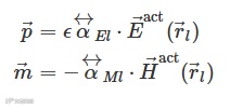
具有电极化和磁极化密度分布的散射体的感应偶极矩可以采用以下形式

电和磁极化密度与电和磁偶极矩之间的关系可以给出如下:

N是每单位面积的散射体数量,符号⟨⟩表示定义Ps和M͈s的点附近散射体的平均值。带入可得,

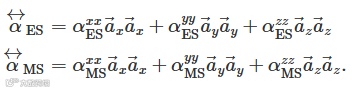
为简单起见,我们将假设极化率并矢是对角线的。则极化密度的x分量为

则,电极化密度的x分量的解为

类似的,电极化密度的y、z分量,以及磁化密度的x、y、z分量都可以获取到。
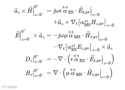
最后广义转换条件(GSTCs)如下


以上这些可以分别解释为每单位面积的有效电极化率和磁极化率密度(实际密度乘以校正因子)。
半径R圆的磁的数目有待确定。其选择方式是,在静态极限k→0时,电和磁极化密度穿孔连续分布的场等于除rl处的散射体外的所有离散散射体分布引起的场。Maslovski等人进行了这一计算,得到了

散射体周期分布和随机分布的分析
对于散射体在周期为d的方阵中的周期性分布。在一些文献中,用素数表示将取和于的所有整数值m和n从−∞自+∞,除外m=n=0.在[18]、[39]和许多其他文章中也可以找到基本等同的结果
对于随机分布,Dignam和Moskovits给出了公式,可以用来得到R就二维径向对分布函数而言描述了表面散射体的统计分布。它的意思是,对于位于一个区域中的散射体的集合S0在平面中,在两者之间的距离处存在散射体的概率r和r+dr从一些给定的散射体是,


参考文献
[1] A. Ghaneizadeh and M. Joodaki, “Generalized Sheet Transition Conditions (GSTCs) in Electromagnetic Metasurface Modeling,” IEEE Access, vol. 12, pp. 74305–74326, 2024, doi: 10.1109/ACCESS.2024.3406160.
[2] C. L. Holloway, E. F. Kuester, J. A. Gordon, J. O’Hara, J. Booth, and D. R. Smith, “An Overview of the Theory and Applications of Metasurfaces: The Two-Dimensional Equivalents of Metamaterials,” IEEE Antennas and Propagation Magazine, vol. 54, no. 2, pp. 10–35, Apr. 2012, doi: 10.1109/MAP.2012.6230714.
[3] E. F. Kuester, M. A. Mohamed, M. Piket-May, and C. L. Holloway, “Averaged transition conditions for electromagnetic fields at a metafilm,” IEEE Transactions on Antennas and Propagation, vol. 51, no. 10, pp. 2641–2651, Oct. 2003, doi: 10.1109/TAP.2003.817560.
[4] C. L. Holloway and E. F. Kuester, “Impedance-type boundary conditions for a periodic interface between a dielectric and a highly conducting medium,” IEEE Transactions on Antennas and Propagation, vol. 48, no. 10, pp. 1660–1672, Oct. 2000, doi: 10.1109/8.899683.



