相控阵天线由多个天线元组成,这些元可以独立地接收和发射信号。通过对每个天线元施加不同的相位和幅度,可以实现对发射或接收波束的电控制。相控阵天线的主要优势在于其能够在不移动天线的情况下,快速且灵活地改变波束的方向和形状,因此在现代通信和雷达系统中得到广泛应用。
通过网盘分享的文件:相控阵天线16单元线形阵列
链接: https://pan.baidu.com/s/13l7tn8jr-GtuBIzY45WkQg?pwd=2024 提取码: 2024
一些电磁场与电磁波书籍获取(资料来源于网络,仅供学习参考,如有侵权立即删除),获取链接:
https://pan.baidu.com/s/1T3G49xaI4pokE2FVtlfpRw?pwd=2fq4
提取码: 2fq4

As shown below👇
天线阵列基础知识
天线阵列是一组空间上分离的N个天线。
数量:阵列中的天线数量可以小到2个,也可以大到几千个(如在AN/FPS-85相控阵中由美国空军运营的雷达设施)。
一般来说,天线阵列的性能随着阵列中天线(元件)的数量而增加;
缺点是增加了成本、规模和复杂性。
下图为四元微带天线阵列(相控阵),与超表面的区别在于贴片的尺寸,以及阵列天线是独立天线的组合。

下图为蜂窝塔天线阵列。现在楼顶可以常见到类似的天线基站。这些天线阵列通常以 3 个为一组(2 个接收天线和 1 个发射天线)使用。

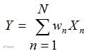
天线阵列的一般形式如下图所示。选择原点和坐标系, 然后将 N 个单元定位,每个单元的位置由下式给出:
dn=[Xn Yn Zn]

天线阵列的输出可以简单地写成:


天线阵列的优点
天线阵列的价值和实用性在于它能够确定(或改变)接收或发射的功率 作为到达角的函数。
通过正确选择天线阵列的重量和几何形状,可以将相控阵设计为抵消 来自不期望方向的能量,并从其他方向最敏感地接收能量。

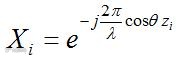
如上图所示的沿着z轴的3元阵列天线。
相控阵中的天线相距二分之一波长(以z=0为中心)。
平面波的电场可以写成:

对于天线 i,接收到的信号为:

接收到的信号通过复数相位因子来区分,这取决于天线的间隔 以及到达平面波的角度。如果将信号相加,则结果为:

如果观察 输出 的大小与(平面波的到达角)的关系

可以看出,相控阵在某些方向上比其他方向有更好地信号。
例如 当到达角为 90 度时,天线阵列的接受度最高。相反,当到达角度 是 45 度或 135 度时,无论入射平面波中的功率有多大,天线阵列的接收功率为零。
由于互易性,传输和接受是相同的。
将来相控阵天线将向更高的频率、更小的体积和更低的成本发展。同时,集成先进的信号处理技术和人工智能算法,将进一步提升相控阵天线的性能和应用范围。
总之,相控阵天线通过其独特的相位控制和电子扫描能力,极大地增强了信号传输的灵活性和精确度。其在多个领域的成功应用证明了其在现代通信和雷达技术中的重要性和潜力。


