PEC天线与放置在附近的有损介电基板之间的电磁相互作用会显著影响天线性能。例如智能手机天线与人手之间的交互,与有损材料的相互作用可能会改变谐振频率,降低整体辐射效率,恶化辐射方向图,并影响天线的极化纯度。因此,了解 PEC 天线和附近有损电介质的基本物理特性非常重要。
-
子结构广义特征值方程 -
特征模理论分析简介 -
参考文献
As shown below👇
子结构广义特征值方程
通过合理地定义辐射和耗散矩阵,子结构广义特征值方程(SSGEE)的特征值将总是复数,其具有清晰的物理意义。
如果所选主辐射器是无损的,则特征值的虚部表示广义模态辐射效率,而实部可以直接反映每个CM的共振特性。
若所选的主辐射体是有耗的,也可通过提出的SSGEE和其他一些简单步骤来获得广义模态辐射效率。
一个包含两个 PEC 和两个电介质部件的复合结构,如图所示。
电流Jc1 和Jc2 分别位于 PEC 1 和 PEC 2 的表面上。
电介质 1 和电介质 2 表面的等效电流和磁电流表示为Jd1 ,Jd2 ,Md1 和Md2。
若PEC 2 和电介质 2 被选为主辐射器,而 PEC 1 和电介质 1 被选为无源负载。
电介质 1 和电介质 2 可以是有损耗的。通过使用矩量法,散射问题可以表示为以下矩阵方程:
通过JMR和JML之间的关系,可以得到以下公式,
其中,Zmain为基于 (EFIE)-PMCHWT的子结构阻抗矩阵,T是变换矩阵。
特征模理论分析简介
自由空间下入射波照射在孤立的PEC导体上时,会产生感应电流J。感应电流又会产生对应的散射场Es,入射场与散射的叠加形成了最终的总场E,
根据PEC表面的边界条件,最终总场在PEC表面的电场切向分量为零。
此时引入算子Z(●)将感应电流J与散射场Es联系起来。则有以下形式:
上式就是电场积分方程。
由于RWG(Rao-Wilton-Glisson)函数的特点,当其作为电流展开的基函数时,在三角形剖分网格的边界上不会有电荷的积累,而且电流也在边界上保持连续性,可以很好模拟电流的真实情形。
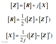
In是第n个基函数的加权系数。Zmn称之为阻抗矩阵,Vm称之为激励向量。
阻抗矩阵Zmm的实部和虚部可以表示为:
由于阻抗矩阵Zmn对称矩阵,因此矩阵[R]与矩阵[X]都是实对称的Hermitian矩阵,且矩阵[R]还是半正定矩阵。因此,我们考虑构建如下加权的特征值方程
这里vn是特征值,[W]为加权矩阵,[Jn]指特征向量。对于任意采用的对称矩阵[W],阻抗矩阵[Z]均能实现对角化,担当且仅当[W]=[R]时才能保证模式远场的正交性。因此,当选取[W]=[R]且令vn =1+j入,,上式可化为:
上式为广义特征值方程。
可以定义几个常见的特征模相关的参数:
其中,Vn^i为模式激励系数,MS为模式重要性值(Modal Significant),相较于特征值无穷范围内的取值,MS有时更容易观察。βn为特征角,相对于其他两个参数(特征值与MS),特征角还可以反映不同模式之间相位差,在圆极化天线的设计中有颇多的益处。
[1] H. Ren, J. Chen, P. Feng, B. Wang, G. A. E. Vandenbosch and S. Yan, "Novel Surface Integral Equation-Based Sub-Structure Characteristic Mode Formulations for Lossy Composite Objects," in IEEE Transactions on Antennas and Propagation, vol. 72, no. 11, pp. 8893-8898, Nov. 2024, doi: 10.1109/TAP.2024.3461955.


