天线的包络相关系数 (ECC, Envelope Correlation Coefficient) 是用来描述天线之间相关程度的参数,天线之间的耦合程度可以通过包络相关系数进一步判断。
-
ECC的计算 -
ECC的标准与阈值 -
参考文献
As shown below👇
ECC的计算
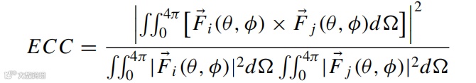
包络相关系数ECC(Envelope Correlation Coefficient):ECC是衡量通信信道彼此隔离或相关程度的性能度量标准。ECC值越小,表示天线之间的相关性越小,MIMO系统的性能越好。

在公式中,Fi(θ,φ)是仅激发端口i时相应天线的三维辐射场(3D方向图),Fi(θ,φ)∗是Fi(θ,φ)的复共轭,Ω是球坐标系中的立体角.
但由于三维辐射场的计算过于复杂,因此公式需要简化。
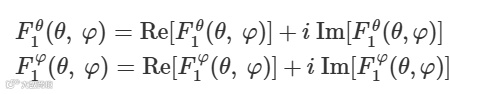
由于方向图涉及两个角度,积分计算复杂,通过转换公式可以将积分运算简化为求和运算。
首先分解F1(θ,φ),它由Fθ1(θ,Φ)和Fφ1(θ、φ)组成,两者都可以展开为复数。

F2(θ,φ)的分解也是如此。
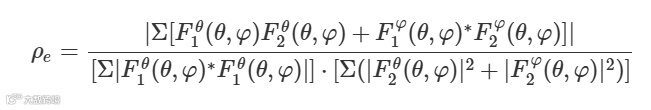
最终可以简化为,


ECC的计算可以通过天线的远场方向图或者S参数来进行。具体来说,可以通过以下步骤来计算ECC:
获取天线的远场方向图数据或者S参数数据。
根据这些数据,计算两个天线元素之间的辐射场相关性。
通过公式计算ECC值,该公式通常涉及到辐射场的Hermitian乘积以及立体角等参数。

ECC的标准与阈值
理想情况下,为了实现最佳的MIMO性能,每个天线元素应该是完全独立的,即它们的辐射模式不应该相互关联。ECC的值范围从0到1,其中0表示天线之间完全独立,1表示天线之间完全相关。在实际应用中,ECC的值应尽可能低,以确保MIMO系统的性能。

ECC的标准与阈值
在实际应用中,ECC的值通常被认为低于0.5是可以接受的。然而,在天线领域各大期刊的MIMO设计中,ECC一般小于0.2才被视为优秀的设计。一些极限的设计甚至能达到0.1以下。因此,在MIMO天线设计和评估过程中,需要尽可能地降低ECC值,以提高系统的性能。

[1] J. Deng, J. Li, L. Zhao and L. Guo, "A Dual-Band Inverted-F MIMO Antenna With Enhanced Isolation for WLAN Applications," in IEEE Antennas and Wireless Propagation Letters, vol. 16, pp. 2270-2273, 2017, doi: 10.1109/LAWP.2017.2713986.
[2] M. Wei, Y. Zhou, H. Guo, C. Hu and W. Xie, "Analysis and Implementation of MIMO Antenna Miniaturization," 2022 IEEE International Symposium on Broadband Multimedia Systems and Broadcasting (BMSB), Bilbao, Spain, 2022, pp. 01-05, doi: 10.1109/BMSB55706.2022.9828562.


