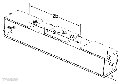
在介质基片的一面上制作出中心导体带,并在紧邻中心导体带的两侧制作出接地板,而介质基片的另一面没有导体层覆盖,这样,就构成了常规的共面波导,或称之为共面微带传输线。共面波导结构常用于滤波器或者天线等微波器件。
-
共面波导CPW
-
常规共面波导的HFSS仿真 -
参考资料
As shown below👇
共面波导
共面波导分类
根据形式可分为3类:常规CPW,导体支撑的CPW,微加工CPW
在常规的CPW中,地面平面的两边都是半无限范围的。但是,在实际电路中,地平面是有限范围的。

导体支撑的CPW在基板的底表面有一个额外的地平面。这个较低的地平面不仅为基板提供机械支撑,而且还作为具有有源器件的电路的散热器。

微加工的CPWs有多种形式,例如,微屏蔽线和悬浮在微加工凹槽上方的二氧化硅膜上的CPW。

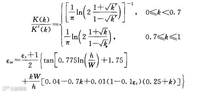
常规共面波导的参数计算
共面波导能支持准TEM模的传播,其分析方法可采用准静态法分析。
下面给出t=0时特性阻抗计算的准静态法结果。

其中,

K(k)为第一类完全椭圆函数,K`(k)为第一类完全椭圆余函数。

HFSS仿真--常规共面波导的场分布
CPW天线

共面波导滤波器

[1] R. N. Simons, Coplanar Waveguide Circuits, Components, and Systems. in Wiley Series in Microwave and Optical Engineering. New York, USA: John Wiley & Sons, Inc., 2001. doi: 10.1002/0471224758.
[2] 徐锐敏, 微波技术基础(修订版). 北京: 科学出版社, 2009.
[3]周希朗. 电磁场理论与微波技术基础[M]. 东南大学出版社, 2004.
[4] Garg R , Bahl I , Bozzi M . Microstrip lines and slotlines[M]. Artech House, 2013.


