天线阵列利用多个天线元件的辐射,通过在某个方向上相干组合它们的辐射功率来增强天线系统的传输。当使用相同的天线阵列进行接收时,N个元件从最大辐射方向接收到的功率被相干地组合,导致信号功率增加了N倍。这也意味着信噪比(SNR)增益为N,因为入射到天线上的噪声功率被假设为背景热辐射,由于它们在天线元件之间不相关,因此不会加起来。
-
天线噪声理论 -
天线噪声的抑制方法 -
参考文献
As shown below👇
天线噪声理论
天线系统噪声用到达接收器输入端的噪声功率来概括为
1、来自外部的背景噪声,
2、损耗引起的天线噪声,
3、接收器本身的噪声。
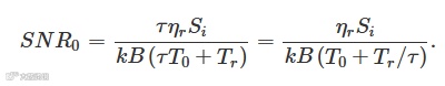
天线接收器的信噪比可以用下面公式描述,

其中Si是进入天线孔径的入射功率,ηr是天线的辐射效率,Ta、Tp分别是背景和天线的物理温度,Tr是表示接收器添加的噪声功率的噪声温度,τ是匹配网络的传输系数,它与天线到接收器之间的失配反射系数Γ有关。
在热平衡条件Ta=Tp=T0下,公式可简化为

紧密间隔阵列或电小孔径的增益带宽乘积极限与 Harrington-Chu 极限所提示的电小天线的著名效率带宽乘积极限一样。然而,Harrington Chu的极限并没有从根本上限制电小天线的噪声系数(NF)和SNR带宽。天线和接收器之间的失配甚至可能有助于产生更好的NF,因为如果失配设计得当,它会拒绝接收到的信号和外部环境噪声,并抑制前端添加的内部噪声。对于间隔较近的天线,这种低噪声宽带匹配策略可能非常有用,因为在天线之间应用了外部噪声的消除,这需要一个干净的接收器前端,不会产生相当数量的内部噪声。

天线噪声的抑制方法
为了降低天线噪声的影响,可以采取以下措施:
优化天线系统设计:选择合适的天线、滤波器和放大器等元件,以提高系统的抗干扰能力和接收灵敏度。
减少外部干扰:通过合理的布局和屏蔽措施,减少外部噪声对天线系统的干扰。
降低系统内部噪声:采用低噪声的电子元件和电路设计,以减少系统内部的噪声产生。
提高信号处理能力:通过先进的信号处理技术,如滤波、解调等,提高有用信号的识别能力和抗干扰能力。

[1] L. Kun Yeung and Y. Ethan Wang, "Theory of Broadband Super Sensitivity Receiving With Closely Spaced Antenna Arrays," in IEEE Transactions on Antennas and Propagation, vol. 72, no. 11, pp. 8294-8306, Nov. 2024, doi: 10.1109/TAP.2024.3455776.


