以前的测量和仿真结果表明,由于多径散射,即通道角色散,波束成形增益显著降低。因此,提供高定向增益和波束形成能力的大规模天线阵列是补偿高频严重信号衰减所必需的。
-
Sub-THz波束成形分析 -
信道色散的分析 -
参考文献
As shown below👇
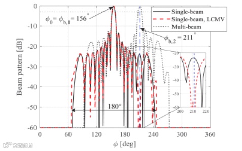
Sub-THz波束成形分析
从无线信道特性的角度来看,与全向或无天线传播信道相比,波束加权信道执行不同的角度和时间色散特性,其中相应传播信道的测量多径分量(MPC)由指向单个和/或多个方向的定向波束方向图加权。
如图所示,从发射机(Tx)发出的无线电信号在空间上传播,在被接收机(Rx)天线接收之前,它沿着一条视线(LOS)和两条非视线(NLOS)路径传播。
在Rx侧实施高定向波束形成导致传播信道的空间滤波,其中天线辐射方向图基本上是空间滤波器的响应。
例如,对于沿着单个主路径#1指向的波束的主瓣,只有两条路径,即路径#1和#2是可见的,而当将波束转向另一个方向时,只有一条路径,也就是路径#3是可见的。
然后,路径增益将在相应方向上用阵列模式加权,即方位角到达角(AoA)。因此,波束加权信道的时间色散参数可能与各向同性信道不同。然而,目前缺乏专注于分析波束方向图对多径角和时间色散影响的研究,特别是在测量的sub-THz信道中。
信道色散的分析
影响信道色散的几个波束成形属性包括:
天线尺寸、HPBW、旁瓣电平、波束方向和波束失准。
在收集无线信道的MPC以计算角度和时间色散参数时,有两种方法,
1)当使用真实或虚拟天线阵列进行测量,则在估计波束加权MPC期间,波束形成方法的影响是固有的或通过后处理。
2)用所需的波束模式对传播路径进行加权,这适用于任何信道测量数据,而不需要天线配置的先决条件。
[1] P. Zhang et al., "Evaluating the Beamforming Impact on Channel Dispersion Characterization Using Multiscenario Sub-THz Channel Measurements," in IEEE Transactions on Antennas and Propagation, vol. 73, no. 1, pp. 469-481, Jan. 2025, doi: 10.1109/TAP.2024.3489959.



