半空间电磁散射模型有广泛的应用。如,地球或海洋附近物体的电磁散射分析在地球物理勘探、遥感和探地雷达等方面起着至关重要的作用。通过引入半空间模型,可以推导出半空间格林函数来解释地球或海洋背景的影响。在探地雷达(GPR)系统中,快速分析埋在有损地面下的大型导电物体的电磁散射对于探测和识别埋在地下的地雷或未爆弹药(UXO)起着重要作用。在这些应用中,空气-水/土壤等的复合材料通常可以通过具有平面界面的有损半空间来建模。
-
EFIE与有损半空间的内部共振 -
半空间格林函数和积分方程 -
参考资料
As shown below👇
EFIE与有损半空间的内部共振
对于一个PEC对象,其任意形状的边界埋在有损半空间(空气-土壤复合物)中。
对于下层土壤(i=1)和上层空气(i=2),半空间的介电常数和磁导率分别表示为ϵi=ϵ0ϵir,和μi=μ0μir,其中ϵ1r通常用于解释损耗,ϵ2r=1用于空气。
假设材料是非磁性的,即μ1r=μ2r=1。
分隔两层的界面设置为z=0。控制散射体边界上感应表面电流J的EFIE读数为
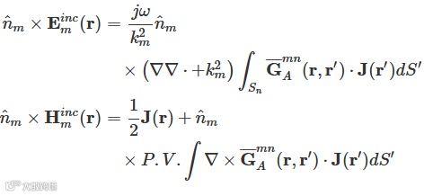
其中Ei是存在有损半空间时的入射电场,Es是根据电流J计算的散射场,公式为
积分核是半空间中的电型并矢格林函数,可以表示为
其中,G¯D表示在没有半空间界面的情况下的直接相互作用,G¯Re是由界面反射引起的项。前者本质上是齐次介质格林函数,具有解析解。然而,后者与极化有关,只能表示为一系列无穷积分。
通过应用Rao–Wilton–Glission(RWG)基函数fRWG和Galerkin检验,可以得到一个矩阵系统
其中Z′ERWG是相互作用矩阵,VRWG是测试的入射场,IRWG包含未知的展开系数。根据(3),矩阵可以进一步表示为
EFIE算子可能具有与非物理寄生共振相关的小特征值,其中之前获得的矩阵Z′ERWG是病态的。在自由空间中,EFIE的共振与由相同PEC边界形成的充满空气的腔体的共振一致。因此,这个问题在高频端变得更加严重,通常困扰着电大问题的分析。然而,在地下探测的情况下,由于土壤的一般损耗性质,这种问题可能会大大缓解,与自由空间分析相比,EFIE分析在这种特定应用中更可靠。与填充有损耗材料的腔体类似,共振频率被推离实轴,导致时域中的自然衰减,并阻止实共振的发生。
半空间格林函数和积分方程
位于半空间(双层介质)中的封闭PEC物体的电磁散射问题,如图所示。
这个两层介质由一个平行于xy平面且位于z=0处的无限平面界面隔开。
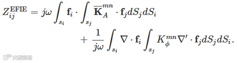
上层是介电常数为ϵ0、磁导率为μ0的空气。下层是以ϵ1和μ1为特征的电介质,其中ϵ1由于包含可能的损耗通常很复杂。物体表面上的感应电流J可以通过求解以下电场积分方程(EFIE)或磁场积分方程(MFIE)来获得:
G′mnA是半空间的向量势并矢格林函数,其形式为
为了求解未知电流J,可以应用MoM。在这里,使用基函数集f,并表示
引入一个改进的向量势二元格林函数K'mnA和一个标量势格林函数Kmn',其中K'mnA'表示为
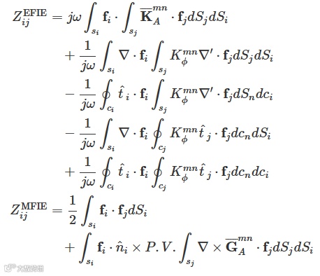
因此,EFIE和MFIE的矩阵条目可以表示为
其中t^是单位曲面切线向量,垂直于基函数的域边界。当基函数在边界处具有非可变法向分量时,就会出现(6)中的轮廓线积分。如果应用传统的符合div的基函数(例如RWG基函数),则(4)中的所有轮廓积分将相互抵消,公式将简化为传统形式
最后,对于散射问题通常更可取的组合场积分方程(CFIE)可以构造为
其中α是组合系数,ηm是观测点所在层的固有阻抗。
[1] M. Meng, Y. Chen, W. Luo, Z. Nie and J. Hu, "Fast Analysis of Electromagnetic Scattering From Conducting Objects Buried Under a Lossy Ground," in IEEE Geoscience and Remote Sensing Letters, vol. 13, no. 4, pp. 555-559, April 2016, doi: 10.1109/LGRS.2016.2525013.
[2] H. Wang, Y. Chen, M. Jiang, C. Liu, J. Hu and Z. Nie, "A High-Order Discontinuous Galerkin Method for Electromagnetic Scattering From Perfectly Conducting Objects in Half-Space," in IEEE Transactions on Antennas and Propagation, vol. 71, no. 10, pp. 8111-8120, Oct. 2023, doi: 10.1109/TAP.2023.3305343.


