远程(LoRa)通信协议因其能在恶劣环境中工作、覆盖广阔区域且功耗低,在搜救(SaR)过程中有重要意义。因此,为了加速目标定位,搜救人员可佩戴装有LoRa无线电的头盔,同时无人机(UAV)也配备LoRa收发器。LoRa通信链路的预算是提供有效救援的重要指标。
-
地面与无人机通信模型的建立 -
搜救距离计算结果 -
参考文献
As shown below👇
地面与无人机通信模型的建立
影响通信链路的性能的因素可以归纳如下,
工作频率:使用LoRa发射器,工作在863–873 MHz的LoRa频段。
地面人员的状态:四种:站立、躺在前面、侧卧和仰卧;
地面环境:
a、被雪覆盖的土地使用完美电导体(PEC)地面代表。
b、极干地形(如岩石),其介电常数和电导率分别为ε=ε0(4.8−0.4j),σ=10^−4 S/m。
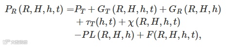
无人机与地面的链路计算公式如下,
其中PT是发射功率,χ是极化损耗因子,h是人员佩戴通信器Tx离地高度,H是无人机的飞行高度,R是无人机离目标的地面距离,t是地形条件(干燥或潮湿)。
对数距离路径损耗(PL)表达式为
PL(r)=PL(d0)+10⋅n⋅log10(r/d0),
d0为参考距离,n为PL指数,r为射线路径。
由于低空无人机的LoS地空信道可以通过自由空间链路近似,因此假设d0=λ/4π和n=2。
由于ΓT是发射天线反射系数的模量,τT=(1-Γ2T)是相应的功率传递系数。相反,接收天线被认为与Rx完全匹配。通过施加等于Rx灵敏度的PR来评估理论最大通信距离,PR取决于LoRa信号的带宽和扩频因子(SF)。F项是路径增益因子,用于解释站立时通过平坦地球双射线传播模型时的多径效应。
其中|⋅|是绝对值算子,k0是自由空间传播常数,ρejψ是菲涅耳反射系数,θ2表示直接路径的方向,平行于地面极化的电磁波的菲涅耳反射系数由平台本身的介电常数估算为
搜救距离计算结果
基于 LoRa 协议的平地上TX到无人机的通信数值表征和证实,理论上,即使在最坏的情况下,无人机也能够在平坦的情况下收集长达 5 公里的信号,在潮湿地形和躺平的状态下,当无人机在 120 m 的高度飞行时,收集信号范围可达 9.5 公里。
在这个计算结果中,路径损耗有很大的影响,
路径损耗的计算如下,
距离发射机d处的接收机的经典窄带无线电传播PL模型(单位为dB)为
其中PLm是平均PL,nS表示随机变量阴影,通常建模为对数正态分布,平均值和标准偏差σS为零(单位为dB)。平均对数距离PL模型PLm(d)可以推广为包括多个距离功率梯度的多斜率模型,即
[1] J. Petajajarvi, K. Mikhaylov, A. Roivainen, T. Hanninen and M. Pettissalo, "On the coverage of LPWANs: range evaluation and channel attenuation model for LoRa technology," 2015 14th International Conference on ITS Telecommunications (ITST), Copenhagen, Denmark, 2015, pp. 55-59, doi: 10.1109/ITST.2015.7377400.
[2] G. M. Bianco, A. Mejia-Aguilar and G. Marrocco, "Numerical and Experimental Characterization of LoRa-Based Helmet-to-Unmanned Aerial Vehicle Links on Flat Lands: A numerical-statistical approach to link modeling," in IEEE Antennas and Propagation Magazine, vol. 65, no. 1, pp. 79-92, Feb. 2023, doi: 10.1109/MAP.2022.3176590.
[3] G. M. Bianco, R. Giuliano, F. Mazzenga and G. Marrocco, "Multi-Slope Path Loss and Position Estimation With Grid Search and Experimental Results," in IEEE Transactions on Signal and Information Processing over Networks, vol. 7, pp. 551-561, 2021, doi: 10.1109/TSIPN.2021.3106693.


