倏逝波通常与全反射现象相关,存在于低折射率介质一侧,且不传播能量,只是局域在界面附近;而表面波则是在界面处传播的波,能够沿界面传输能量,且其存在依赖于特定的材料属性组合,如金属和介质之间的表面等离子体激元。
-
倏逝波(Evanescent Wave) -
表面波(Surface Wave) -
参考资料
As shown below👇
倏逝波(Evanescent Wave)
在全反射条件下(如光从高折射率介质进入低折射率介质时),界面处产生的非传播电磁场,振幅随距离界面指数衰减。
特点:
不传输能量,仅局域在界面附近(约波长量级内)。
存在于低折射率介质一侧。
常见于全反射、波导、近场光学等场景。
倏逝波的临界条件
倏逝波的产生需要满足全反射条件,即入射角大于临界角,而临界角由两种介质的折射率决定
其中n1 > n2。超过临界角后,透射波消失,界面处形成倏逝波。
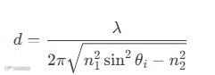
倏逝波的穿透深度
总结:
倏逝波(Evanescent Wave)通常出现在全反射情况下,当光波从高折射率介质进入低折射率介质时,如果入射角大于临界角,就会发生全反射。此时,尽管没有透射波,但在低折射率介质中会存在一个迅速衰减的电磁场,这就是倏逝波。倏逝波的特点是振幅随着距离界面呈指数衰减,不能有效传播能量,主要存在于界面附近很小的范围内。
表面波(Surface Wave)
沿两种介质界面传播的电磁波,能量集中在界面附近,随垂直方向衰减。
特点:
能沿界面传输能量,传播距离较远。
需要特定材料组合(如金属-介质界面支持表面等离子体激元)。
常见于纳米光子学、天线设计、生物传感等领域。
临界条件
表面波的激发需要满足特定的色散关系,例如对于表面等离子体激元,需要金属的介电常数为负,且与介质的介电常数满足一定关系(ε_metal < 0,且 |ε_metal| > ε_dielectric)。
总结:
表面波(Surface Wave)则是一种沿着两种不同介质之间的界面传播的电磁波,其能量集中在界面附近,随着远离界面而逐渐衰减。表面波的典型例子包括表面等离子体激元(Surface Plasmon Polaritons, SPPs),它们可以在金属和介质的界面上传播。表面波的传播需要满足特定的条件,例如介质的介电常数符号相反等。
PS:
可能存在一些混淆点。例如,表面波是否包含倏逝波成分?在表面波的传播过程中,垂直于界面的方向可能存在倏逝波式的衰减场,但表面波本身是沿界面传播的,而倏逝波更多指那些不传播、仅衰减的场。
表面波在垂直于界面方向表现为倏逝场(指数衰减),但沿界面方向是行波(传播能量),因此表面波本质是传播波,而倏逝波是非传播的局域场。
[1] D. M. Pozar, 微波工程, 第三版. 北京: 电子工业出版社, 2015.
[2] 徐锐敏, 微波技术基础(修订版). 北京: 科学出版社, 2009.


