飞行器在空中可能有多种姿态,这可能会影响通信可靠性。为了解决这些问题,许多信号模型进行了研究,并发布了许多很好的解决方案,包括多波束天线、发射阵列天线、相控阵和漏波天线。
-
弹载雷达信号模型 -
小型飞行器宽波束天线 -
参考文献
As shown below👇
弹载雷达信号模型
弹载雷达运动模式简单的分为三类,即侧视模式的水平飞行、前视模式的水平飞行和前视模式的俯冲飞行。
1、侧视平飞状态下杂波运动模型
在三维笛卡尔坐标系中定义为O-xyz,y轴表示沿轨道速度方向,x轴表示地面距离坐标,z轴由右手定则确定。
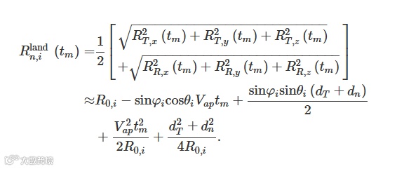
对于该地面散射体P_land_i,其对应于第n个空间信道的等效自发射和自接收瞬时倾斜范围可由下式给出:
2、具有前视模式的水平飞行状态下的杂波运动模型
当弹载雷达在前视模式下工作时,天线面板沿x轴安装,如图所示。然后,地面散射体和第n个接收信道之间的双向倾斜范围可以表示如下:
3、具有前视模式的潜水飞行状态杂波运动模型
在实践中,导弹可能会在俯冲飞行状态下工作,以实现目标打击,然后杂波时空耦合特性将变得更加复杂,因为平台速度方向将不与地面平行,如图所示
从图可以看出,当存在由γ表示的俯冲角时,由于引入了沿z轴的平台速度分量,该俯冲飞行状态中的斜程历史将与水平飞行模式的斜程历程不同。出于同样的原因,与第n个接收信道相关的瞬时倾斜范围可以记为如下:
小型飞行器雷达天线
小型飞行器天线通常使用轻型、低成本和紧凑的宽波束天线。
缝隙天线和微带天线经常用于宽波束飞行器天线的设计,因为它们加工简单、外形低、成本低廉。
进一步的将注意力集中在偶极子天线上,作为设计宽波束天线的一种手段。许多方法包括,
1、利用电磁带隙 (EBG) 结构和梯形接地来增加半功率波束宽度 (HPBW),从而在 xoz 和 yoz 平面上分别产生 100° 和 153° 波束宽度。
2、引入寄生元件、垂直金属板和弯曲的金属臂来扩束宽度也很常见。
3、磁电 (ME) 偶极子天线是传统偶极子天线的改进版本。它具有对称的辐射方向图和简单的馈电结构,使其成为设计宽波束天线的不错选择。弯曲臂用于产生垂直电流,这可以有效地拓宽天线的波束宽度。
4、电场可以通过扩展的接地传播。这导致 xoz 和 yoz 平面的波束宽度分别为 128° 和 140°。通过添加金属通孔和寄生贴片,xoz 和 yoz 平面的波束宽度分别扩展到 242.2° 和 132.3°。
5、介质谐振器 (DR) 天线的辐射效率更高,因此在宽波束天线领域越来越受到青睐。寄生金属环产生水平磁流,使 xoz 和 yoz 平面波束宽度分别扩展到 234° 和 140°。
宽波束特性是通过激发准 TE 来实现的电介质谐振器天线的模式。
6、单极子及其变体也为设计宽波束天线提供了新思路。
然而,在实际应用场景中,需要更小的尺寸、更宽的波束宽度、更轻的重量、更大的强度和更高的耐温性天线,以最大限度地发挥飞行器的有效载荷重量并保证更好的通信。
[1] Y. Feng et al., "A Compact Wide-Beam Open-Loop Antenna for Small Flight Vehicle Applications," in IEEE Antennas and Wireless Propagation Letters, vol. 24, no. 1, pp. 98-102, Jan. 2025, doi: 10.1109/LAWP.2024.3485125.
[2] P. Huang, H. Yang, Z. Zou, X. -G. Xia and G. Liao, "Multichannel Clutter Modeling, Analysis, and Suppression for Missile-Borne Radar Systems," in IEEE Transactions on Aerospace and Electronic Systems, vol. 58, no. 4, pp. 3236-3260, Aug. 2022, doi: 10.1109/TAES.2022.3147136.



