在紧密排布天线单元之间,相互耦合不仅会降低隔离度和相关性,还会使辐射方向图失真。最近,自解耦和短路两种方法受到了青睐。这两种方法因其无需额外去耦结构即可增强隔离的能力而受到关注。到目前为止,去耦方法的主要重点是端口去耦 (PD),特别是为了提高隔离度。然而,即使具有较高的隔离水平,辐射方向图也经常出现失真,包括倾斜或波纹波束。
-
自解耦方法--基于电路的分析方法 -
短路引入方法 -
参考文献
As shown below👇
自解耦技术--基于电路的分析方法
当具有相同极化的多个贴片天线紧密排列时,会发生强互耦合,这会降低天线的性能并限制其对多输入多输出 (MIMO) 系统的适用性。为此引入了各种去耦结构来提高贴片天线之间的隔离性能。这些结构主要包括去耦网络、谐振腔、缺陷接地结构(DGS)、电磁带隙(EBG)、金属隔离壁、中和线、超表面以及它们的组合结构。
虽然这些方法已经实现了不错的隔离效果,但通常需要占用额外的空间,且可能会对天线的辐射特性产生不利影响。
基于天线本身固有特性的众所周知的自耦技术已成为通过紧凑的天线布局实现可接受隔离的有前途的解决方案。
例如,基于共地平面上的弱场区域的自去耦方法。通过适当调整插入馈电结构,可以有效地解耦贴片天线阵列,而无需任何额外的寄生结构。
最近,基于等效电路模型来分析解耦合概念的物理机制成为分析的有利工具。
一对耦合天线之间或多或少有两种耦合。
如果不刻意操作,两个耦合不会相互抵消。自耦天线阵列的等效电路模型如下图所示。若两个耦合被有意调整为相同的幅度,可使它们相互抵消。

该电路模型对应于馈线已解嵌的两根天线,如下图所示,表明参考面向前移动到天线辐射体。
两个系数kL 和kC 表示了两个天线的感应和电容耦合特性。这里kL 和kC 分别是两个电感和两个电容之间的相对耦合系数。耦合电路在等效电路图中使用蓝色虚线框构成。总互阻抗Z21 如果互阻抗Z21_inn er defined by the framed 耦合电路消失。电路的互阻抗可以求为
通过调整四个参数L1、C1、kC和kL,可以在给定频率下抵消互阻抗Z21。
短路引脚(Shorting-pin)技术
众所周知,短路引脚(Shorting-pin)技术已被提出并用于提高贴片天线在阻抗带宽、辐射增益 、阻抗匹配以及轴向比波束宽度方面的性能。
最近短路引脚技术,常用于在边缘场整形的基础上减少极紧密间隔的贴片天线之间的相互耦合。
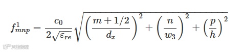
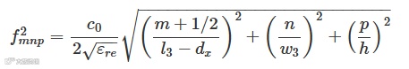
具有两个短路引脚的MPA被两个短路针分为区域1和2。根据电磁场理论,不同区域的谐振频率可以近似估计为
谐振频率可以通过以下公式估算
通过对引入short-pin之后,从表面电场分布中可以发现耦合零点出现。进而通过对引脚的设计,在宽阻抗带宽上实现天线元件之间的去耦。
[1] J. Sui and K. -L. Wu, "A Self-Decoupled Antenna Array Using Inductive and Capacitive Couplings Cancellation," in IEEE Transactions on Antennas and Propagation, vol. 68, no. 7, pp. 5289-5296, July 2020, doi: 10.1109/TAP.2020.2977823.
[2] Y. Fang, L. -S. Wu, L. -F. Qiu and Y. P. Zhang, "A Method of Introducing Coupling Null by Shorting Pins for Stacked Microstrip Patch Antenna Array," in IEEE Transactions on Antennas and Propagation, vol. 70, no. 7, pp. 6030-6035, July 2022, doi: 10.1109/TAP.2022.3161315.
[3] D. P. Purbey, S. Ghosal and A. De, "Shorting-Pin-Inspired Coupling Reduction in Dual-Band Dual-Polarized STAR Antenna," in IEEE Antennas and Wireless Propagation Letters, vol. 24, no. 1, pp. 43-47, Jan. 2025, doi: 10.1109/LAWP.2024.3483215.


