在微波器件设计中散射体的极化率很重要。极化率张量充分表征了电小天线的辐射特性。由于过于复杂,目前真实散射体的极化率张量只能通过数值方法提取。
-
极化率张量 -
极化率张量的特征模分解 -
参考资料
As shown below👇
*极化率张量
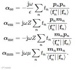
当散射体为电小尺度时,其对入射电磁场的响应可用感应电p和磁m偶极矩表示。这样的描述产生了四个极化率张量α,定义如下:
以上单位都为体积单位,并假定散射体以原点为中心,散射体周围为自由空间,材料参数为ϵ,μ。
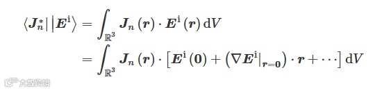
考虑到非磁性散射体,电偶极矩和磁偶极矩可由入射波在散射体内部感应的极化电流密度计算为
*极化率张量的特征模分解
对上式使用多极展开。忽略二阶项和四极相互作用,该项可近似为
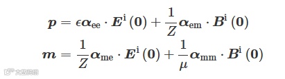
这种模式激励和特征偶极矩和入射场联系了起来。
那么极化率张量的特征分解可得,
[1] A. C. Escobar, J. D. Baena, and L. Jelinek, “Polarizability Tensors From Characteristic Modes,” IEEE Transactions on Antennas and Propagation, vol. 73, no. 5, pp. 3060–3067, May 2025, doi: 10.1109/TAP.2025.3533910.


