介质谐振天线(DRA)因其体积小、重量轻、损耗低、易于激励等优点而受到广泛关注。在设计矩形DRA时,介质波导模型(DWM)已被广泛用于确定DRA的谐振频率。然而,它的解涉及一个超越方程,求解过程较为复杂。
-
矩形 DRA 的设计公式简化 -
介电波导模型(DWM) -
参考资料
As shown below👇
矩形 DRA 的设计公式简化
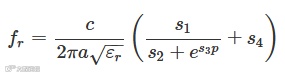
只考虑无源DRA的情况下,DRA的长度为a,宽度为b,高度为d,其中a>b。
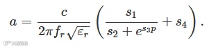
从分析中发现,通过曲线拟合数据(使用DWM模型生成)只需要3个曲线拟合变量(b/a,d/a,εr)即可分析DRA设计。由于观察到频率随p呈指数变化,因此引入了指数因子,简化公式如下:
其中,p=b/a,q=d/a。矩形DRA的长度a可以通过以下公式确定,
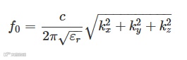
介电波导模型(DWM)
具有介电常数εr的矩形DR的谐振模可以使用介电波导模型(DWM)进行研究。使用该模型,TEmnl模式的谐振频率f0由下式给出
其中k0和c分别是真空中的自由空间波数和光速,kx、ky和kz是DR沿三个方向的波数。下标m、n、l分别表示x、y和z方向上的极值数量。
[1] H. Y. Lam and K. W. Leung, "Dimensional analysis of therectangular dielectric resonator", IEEE Antennas Propag. Society Int. Symp. Digest, vol. 3, pp. 508-511, 2003.
[2] X. S. Fang and K. W. Leung, "Designs of Single-, Dual-, Wide-Band Rectangular Dielectric Resonator Antennas," in IEEE Transactions on Antennas and Propagation, vol. 59, no. 6, pp. 2409-2414, June 2011, doi: 10.1109/TAP.2011.2143658.
[3] R. K. Mongia and A. Ittipiboon, "Theoretical and experimentalinvestigations on rectangular dielectric resonator antennas", IEEE Trans. Antennas Propag., vol. 45, no. 9, pp. 1348-1356, Sep. 1997.


