消费类设备、无人机、机器人和其他移动系统的无线电力传输依赖于创建一个自适应电磁场,该电磁场可以在远距离充电,从而消除有线充电解决方案的不便。强耦合磁共振可通过放置在发射器和接收器线圈对之间的中间谐振线圈在数米的距离内传输无线电力。这里简单介绍了 MetaResonance 背后的理论。
-
全息无线电力传输的理论 -
过程 -
参考资料
As shown below👇
全息无线电力传输的理论
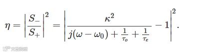
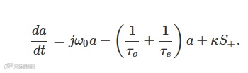
在第二种情况下,元电池是具有连接电容器的闭合电路。因此,来自发射器的功率首先通过磁共振耦合传输到每个元单元。然后,每个元电池中的电力被传输到接收器线圈。在电磁能量传播期间,每个元单元可以控制和影响来自发射器线圈的一部分能量,然后影响到接收器的功率传输。因此,发射器线圈和接收器线圈之间的元单元阵列可以以精细的粒度塑造和控制能量模式。在这个模型中,如图(b)所示,κ决定了来自发射器线圈和元电池的功率(波)之间的耦合率。发射器和元单元之间的这种相互耦合是距离、线圈对准和两个谐振器之间的相对取向角的函数。功率传输优化可以用波传输优化来解释。
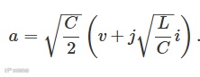
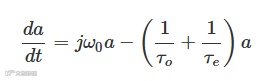
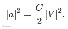
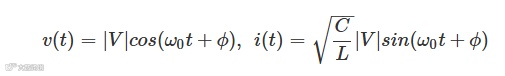
如图(b)所示,每个方块代表一个元电池,可以描述为一个简单的LC电路,L和C是元电池的电感和电容。假设能量在无损LC电路中持续循环,电压(v(t))和电流(i(t)) 瞬态响应可以表示为
*
[1] K. Li, M. Y. Naderi, U. Muncuk and K. R. Chowdhury, "MetaResonance—A Reconfigurable Surface for Holographic Wireless Power Transfer," in IEEE Transactions on Industrial Electronics, vol. 70, no. 5, pp. 4682-4692, May 2023, doi: 10.1109/TIE.2022.3187570.


