微带贴片天线是通信系统中使用最广泛的天线之一。空腔模型假设微带贴片天线的外围有四个完美的导磁 (PMC) 壁,顶部(辐射贴片)和底部(接地平面)有完美的导电 (PEC) 边界,是评估其辐射场和输入阻抗的成熟分析方法。最近,有研究表明微带贴片天线通过定制的时间周期介电常数调制实现了显著的宽带效果。
-
腔内电场的理论 -
带宽增强 -
参考资料
As shown below👇
*腔内电场的理论
微带贴片天线是带宽有限的谐振天线,通常被描述为有损腔。因此,空腔模型是分析其电磁特性的合适方法。由于腔体模型假设衬底与波长相比足够薄,即 h≪λ0,腔体区域内的场分布可以用 TMzmode 替换为 d/dz=0,如图所示。
因此,内部区域被视为顶部和底部由电壁封闭的空腔,边缘周围有磁壁。
假设其具有延伸到 xy 平面上的、无色散、均匀和时变基板介电常数。
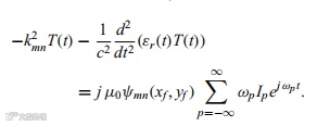
有时变介电常数的亥姆霍兹波动方程 𝜀𝑟(𝑡)和可忽略不计的传导电流 𝐽𝑐→≈0,如下
分离变量后,Ez可以表示为
电场分量的空间函数𝜓(𝑥,𝑦)可以用各种空间模式的无限总和来表示
特征函数 𝜓𝑚𝑛(𝑥,𝑦)需要满足以下边界条件:
四个侧壁周围磁场的切向分量应为零
相对介电常数的实部在时间上是周期性的,即 𝜀𝑟′(𝑡)=𝜀𝑟′(𝑡+𝑇)和 介电常数的虚部𝜀𝑟′′保持不变。
假设与时间周期介电常数相关的外加电流可以用以下形式表示
在空腔区域上积分,可得
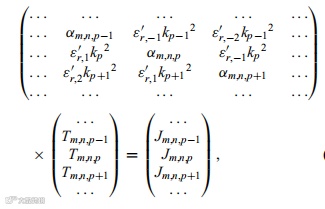
如 𝜀𝑟(𝑡)是时间周期函数,则相应的解 𝑇(𝑡)遵循 Bloch-Floquet 定理,
用无限维矩阵形式表示
*带宽增强
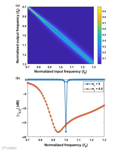
对衬底介电常数进行了缓慢的时间调制 𝜀𝑟(𝑡)以增强微带贴片天线的带宽。将静介电常数和时间调制介电常数绘制在一起以进行比较,如下图所示,
结果表明,与传统的窄带微带贴片天线相比,其带宽增强的可能性令人难以置信,后者的分数带宽约为 2%。此外,该天线可以在低于 f0谐振,这也为解决电小天线阻抗匹配的挑战提出了一条途径。
[1] D. Yang, A. Das, S. D. Campbell, and D. H. Werner, “Harmonic engineering of antennas with time-periodic substrate permittivity,” Phys. Rev. Appl., vol. 23, no. 2, p. 024008, Feb. 2025, doi: 10.1103/PhysRevApplied.23.024008.


