非厄米特系统特性之一是可能存在的异常点(exceptional points, EPs),这些点可引发一系列独特现象,包括非平庸拓扑性质、增强传感、维度缩减以及非常规临界现象。EPs常因能隙闭合而标志相变,若能隙闭合,则意味着新对称性的涌现,伴随新对称性的出现,新的守恒定律也可能随之产生。
-
非厄米特海森堡链的 EP 中的新兴非厄米守恒定律 -
对称拓扑场论 (SymTFT) 概念 -
参考资料
As shown below👇
*非厄米特海森堡链的 EP 中的新兴非厄米守恒定律
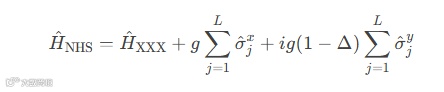
第一项为各向同性海森堡链(SU(2)对称)。
第二项为横向磁场项(厄米部分)。
第三项为非厄米项(Δ=0时为EP点)。
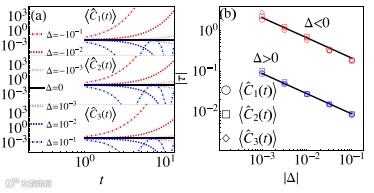
异常点(EPs)的特性
EP条件:当Δ=0时,哈密顿量𝐻^NHS出现高阶异常点(L+1阶简并),本征矢发生合并(coalesce)。
物理意义:EP处系统具有非厄米对称性破缺,能隙闭合,可能伴随新守恒量的涌现。
守恒定律的数学定义:对于非厄米系统,守恒算符 O ^ 需满足:
新兴守恒定律揭示了EPs作为非厄米系统新现象(守恒定律)的载体,深化了对非厄米动力学的理解。为量子传感(EP增强)、非厄米量子调控提供新思路。
*对称拓扑场论 (SymTFT) 概念
对于具有对称群 G 的系统,SymTFT是高一维的 G-规范理论。这一对应关系可以通过两种方式理解:
1、规范对称性与边界全局对称性的关系
以更熟悉的 U(1) 规范理论为例,设空间为 Σ,电场为 E,电荷密度为 ρ。根据高斯定律 ∇⋅E=ρ,全局规范变换会简化为仅作用于系统边界 ∂Σ 的 U(1) 对称变换:
这种规范理论的边界对称性也称为渐近对称性,在近期提出的“Higgs=SPT”对应中扮演关键角色。这种体规范对称性与边界全局对称性的关系同样适用于离散对称性。因此,一个 G-对称系统总能嵌入到高一维 G-规范理论的边界中。若 G-对称作用存在反常,则对应的体规范理论会是一个扭曲的规范理论,即具有非平凡上圈的Dijkgraaf-Witten理论。
2、维度缩减构造
另一种互补的视角是,通过考虑 (d+1)+1 维(扭曲)G-规范理论的薄层,并在薄层方向上施加适当的开放边界条件,其他方向周期性边界条件,可以从高维恢复 d+1 维的 G-对称系统。以最简单的 2+1 维 Z2 -规范理论(环面码拓扑序)为例,其任意子类型为 e,m,f=e×m。将薄层的顶部边界固定为参考的 e-凝聚态,全局Z2 对称操作定义为在周期性方向上拖拽一对 m 粒子。若底部边界为 m-凝聚态,则该对称操作可被边界吸收,对应 1+1 维系统的对称性未破缺态;若底部边界为 e-凝聚态,则对应对称性自发破缺态,具有双重简并基态。这种对称性与对偶对称性的结构,与晶格自旋-1/2 Ising模型的全局 Z2 对称性及其对偶畴壁守恒对称性一致,二者在有限区间上反对易,被称为“范畴对称性”或对称拓扑序(SymTO)。Ising临界点对应 e 与 m-凝聚边界之间的相变。
[1] Z. Wang and L. He, “Emergent non-Hermitian conservation laws at exceptional points,” Phys. Rev. B, vol. 111, no. 10, p. L100305, Mar. 2025, doi: 10.1103/PhysRevB.111.L100305.
[2] R. Wen and A. C. Potter, “Classification of $1+1\mathrm{D}$ gapless symmetry protected phases via topological holography,” Phys. Rev. B, vol. 111, no. 11, p. 115161, Mar. 2025, doi: 10.1103/PhysRevB.111.115161.


