在 MIMO 系统中,通常采用信道容量(Channel Capacity)来评估系统性能。该参数是天线和信道的结合。其计算需要依赖于多个因素,包括信道矩阵、信噪比(SNR)以及信号和噪声的统计特性。
-
信道容量的计算过程简介 -
信道容量公式的一些相关解释 -
参考资料
As shown below👇
信道容量的计算过程简介
当发射机不知道信道条件时,功率平均分配给每个发射天线元件,信道容量由下式给出
NR是接收天线元件的数量,NT是发射天线元件的数量,
INR是NR*NR单位矩阵(identity matrix),
ρ 是平均接收信噪比 (SNR),
是归一化信道矩阵,† 代表其共轭转置,
H可以用简化模型“Kronecker”模型来计算,将相关性分为两个独立分量,
ΨR 是接收相关矩阵,ΨT是传输相关矩阵,G是一个具有独立相同分布的复高斯项的随机矩阵,1/2表示矩阵的平方根。
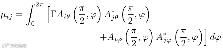
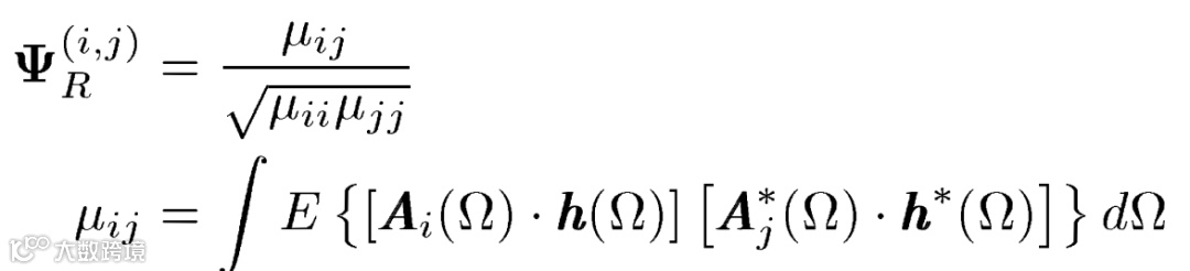
ΨR 的(i, j)项由下式计算
和
分别表示天线元 i 和 j 的场方向图,*表示其共轭,E{.}表示其期望。
在文末参考资料[2]中有定义的移动无线环境的一系列合理的假设:衰落包络瑞利分布,入射波到达水平面,入射波的正交偏振不相关,个体极化空间不相关,最后每个空间的时间平均功率密度是常数。根据这些近似值和一些推导,最后可以写作,
Γ 是入射波的交叉极化 (XPD)。在这里,Γ 假设为 0 dB,这是城市衰落环境中的平均值。
这时,就可以使用测得的方向图带入公式计算,
公式相关的理解
互信息最大化:信道容量的本质是互信息的最大值。互信息表示发射信号S与接收信号Y之间的信息量。通过最大化互信息,我们可以得到信道容量。
熵与条件熵:互信息的计算涉及熵H(Y)H(Y)H(Y)和条件熵H(Y∣S)H(Y|S)H(Y∣S)。熵表示信号的不确定性,而条件熵表示在给定发射信号S的情况下,接收信号Y的不确定性。
高斯分布:当发射信号和接收信号都满足高斯分布时,互信息达到最大值。这是因为在高斯分布下,熵和条件熵的计算最为简单,且能够反映出信号之间的统计关系。
矩阵行列式:公式中的行列式反映了MIMO系统的传输特性,包括天线之间的相关性、信号传播路径的多样性等。
信道矩阵H:信道矩阵H反映了发射天线和接收天线之间的信号传播特性。H的变化会影响MIMO系统的传输性能,从而影响信道容量。
信噪比SNR:信噪比SNR表示信号功率与噪声功率的比值。SNR越高,表示信号质量越好,能够传输的信息量也就越大。
天线数量:MIMO系统的天线数量也会影响信道容量。增加发射天线和接收天线的数量可以提高系统的传输性能,但也会增加系统的复杂性和成本。
[1] Z. Li, Z. Du, M. Takahashi, K. Saito, and K. Ito, “Reducing Mutual Coupling of MIMO Antennas With Parasitic Elements for Mobile Terminals,” IEEE Transactions on Antennas and Propagation, vol. 60, no. 2, pp. 473–481, Feb. 2012, doi: 10.1109/TAP.2011.2173432.
[2] S. C. K. Ko and R. D. Murch, "Compact integrated diversity antenna for wireless communications," in IEEE Transactions on Antennas and Propagation, vol. 49, no. 6, pp. 954-960, June 2001, doi: 10.1109/8.931154.
[3] Liang Dong, Hosung Choo, R. W. Heath and Hao Ling, "Simulation of MIMO channel capacity with antenna polarization diversity," in IEEE Transactions on Wireless Communications, vol. 4, no. 4, pp. 1869-1873, July 2005, doi: 10.1109/TWC.2005.850318.

