产品及性能简介
作为产生飞秒脉冲激光的“种子”,超快飞秒振荡器(Ultrafast femtosecond oscillator)具有高重频、高光束质量等优势,但输出功率普遍较低,往往需要对其进行功率放大以满足应用需求。然而,这种“振荡器+放大器”的技术路线会大大增加系统复杂度,导致成本变高、可靠性变差,从而限制了飞秒激光的受众范围。此外,超快电镜、飞秒双光子显微成像等应用对激光重复频率也有较高要求,因此,高功率飞秒振荡器成为相关领域的急需产品。
飞秒振荡器主要分为光纤和固体两大类。固体振荡器虽然技术难度较高,但最高输出功率比光纤高3个量级,且具有更高重频和更长的锁模器件寿命,是满足应用需求的最佳技术方案。二者的具体对比见表1。
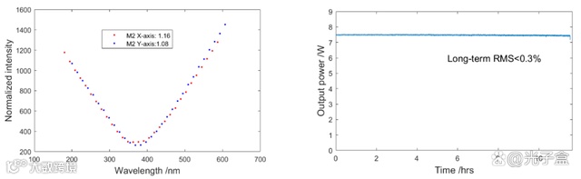
基于上述应用需求和技术路线分析,北京量子院开发了Fermion系列高功率全固态(DPSS)飞秒振荡器。在不需要额外放大的情况下,Fermion-007可直接输出大于7 W、80 MHz的飞秒脉冲激光,脉冲宽度~120 fs,中心波长1035 nm。此外,输出激光还具有优异的光束质量和长期稳定性,两维M2小于1.2,12小时连续运转功率均方根值小于0.3%。
Fermion-007 光谱及脉冲宽度测量
Fermion-007 光束质量及长期稳定性
工程化是激光器从实验样机蜕变成可用产品的核心环节。Fermion-007采用了低热阻晶体封装、一体化密封、温湿度负反馈控制等多项工程技术,并对腔体、冷却模组的设计进行了模拟优化,以降低高泵浦热量对激光器运行环境的不利影响。激光器采用克尔透镜锁模(Kerr-lens mode locking)作为飞秒脉冲产生、维持的机制,相比可饱和吸收体(SESAM)具有更长的寿命和更高的器件可靠性。此外,研发团队首次将新型“射频同步技术”应用到Fermion-007中,用以自启动及维持飞秒锁模状态,从根本上克服了克尔透镜锁模飞秒振荡器长期存在的“失锁”问题。
Fermion-007 机械热分布及水路的模拟
重点应用与项目合作
高功率飞秒振荡器在双光子显微成像、光参量泵浦等领域应用广泛。近年来,随着相关技术的发展,超快电镜、超快电子衍射等标准化仪器对此类激光器的市场需求也在迅速提升。
超快电子显微镜(Ultrafast electron microscopy(UEM))是由传统电镜升级改造而成的高端分析仪器,“飞秒激光驱动光阴极”系统是其新增的核心模块。升级后的超快电镜除了拥有原子尺度的空间分辨率外,还具有飞秒-皮秒尺度的超高时间分辨率,由此成为研究材料动力学过程的有力工具。
Fermion系列产品在超快电镜中的应用
研发团队与相关系统商开展了新型超快电镜开发的前沿合作,首次提出利用飞秒振荡器产生高重频的超快电子,以降低激光脉冲对光阴极造成的损伤风险。该方案有望从根本上解决此类仪器长期存在的光阴极可靠性问题,提高超快电镜产品的使用寿命和市场竞争力。据合作系统商的预估,超快电镜未来3年总市场需求量可达到50台/年。
来源:北京量子院,光子盒
本公众号长期征稿
欢迎大家踊跃来稿
为了尽可能协助科研人员和企业扩大自我宣传,本微信号接受科研和产业界人士投稿,技术类、市场类、企业类、产品类等皆可。经筛选后,根据稿件质量可发布于本微信公众号头条及次条位置宣传。若被采用为头条的技术类、市场分析类稿件,视阅读量可给予稿费。
投稿通道:邮件标题统一命名为“投稿+文章标题”的格式文章用word附件或者文章链接,发送至邮箱sueuel@oeshow.net;或者电话/微信联系13296607101,备注“投稿”即可。
END
特色栏目

免责
声明
本文注明来源为其他媒体或网站的文/图等稿件均为转载,如涉及版权等问题,请作者在20个工作日之内联系我们,我们将协调给予处理。最终解释权归光电汇所有。
本文版权所有,公众号如需转载
请联系oepn@siom.ac.cn
商务合作,请联系
季先生 18018304797
觉得有用,请点这里↓↓↓


