作者简介
杨立伟
中国农业大学信息与电气工程学院副教授,硕士研究生导师,引进人才,主要从事光/无线网络研究,包括接入网、光/无线融合网络、可见光通信等。
刘鑫来
论文引用格式
杨立伟, 刘鑫来. 基于光纤的无线信号与电能融合传输系统研究[J]. 信息通信技术与政策, 2020(12): 93-96.
∗基金项目:国家自然科学基金项目(No.61705260)资助
基于光纤的无线信号与电能融合传输系统研究*
杨立伟 刘鑫来
(中国农业大学信息与电气工程学院,北京 100083)
摘要:介绍了一种基于RoF与PWoF系统融合的双向传输系统,通过光纤网络将无线信号传输与电能传输进行融合,对系统的传输能力及传输效率进行了试验仿真,验证了系统可以提供远端天线单元所需电能,并将供电系统集中在中央控制系统中。
关键词:RoF系统;PWoF系统;融合传输
1 引言
随着信息技术的高速发展,高清视频、局域物联、智慧城市、自动驾驶等新兴业务即将迎来大规模的推广和使用。无线通信技术将迎来质的飞跃,移动数据流量也将呈现指数增长,并且这种增长正在加速光纤无线电(Radio over Fiber,RoF)系统的发展。
无线化和宽带化是当今通信业乃至整个信息业的热点,两者结合将产生巨大的潜力[1]。光纤无线电技术是将射频(Radio Frequency,RF)信号传输到中央局(Central Office,CO)和远程天线单元(Remote Access Unit,RAU)之间光纤链路中的关键技术。在当前的RoF系统中,数字信号被广泛使用,但模拟信号的使用对于提高射频信号的数据容量和简化RAU的配置具有很大的潜力[2]。
在未来的移动通信中,为了支持更高的RF信号数据速率,需要减小RAU的大小,并且必须安装大量的RAU,尤其是在人口密集的区域。RAU数量的增加,进一步增加了移动通信业务的运营管理成本,所以需要对RAU进行更加简单与经济的管理。光纤传能(Power-over-Fiber,PWoF)是一种将通用光纤的数据信号和光电功率同时进行传输到各种光纤中的简单而实用的传输方法,光纤传能技术利用光纤传送能量,通过光电转换后,为远端单元提供更清洁、安全的能源技术。PWoF系统能在恶劣的环境以及极端的天气下维持相对稳定的能量传送,且传输能量为高功率。PWoF系统在传输过程中损耗与电能相比较低,对能量的损伤阀值也较高,并且传送时的光纤也具有耐高温等特性,进一步保证了PWoF系统在各种极端传输场景中的应用。
2 关键技术
对于RoF-PWoF系统,主要涉及到光纤材料的选取、RoF系统的实现、信号观测点的选取以及PWoF系统的实现。
2.1 光纤选择
在基于RoF的移动网络中,PWoF的使用会将电源集中在中心局,即PWoF集中了供电系统。并且,可以在同一根光纤中提供具有光数据信号的馈电光(光功率)。因此,需要了解不同光纤的特点,以及其对馈电效率的影响。光纤的选择对于系统能否稳定运行起到了关键性的作用。
常见光纤一般有两种,分别为单模光纤(SMF)和多模光纤(MMF)。其中,单模光纤的芯径一般约为10 μm[4],芯径太小使其不适用于光纤传能。因为单模光纤的直径小,所以其核心区小,也就严格限制了可用的馈电光功率。多模光纤是指在工作时可以传播多种模式光的光纤,这种光纤支持多种传输模式,光纤的纤芯直径一般在50 μm左右,其核心面积与单模光纤相比更大。在传输距离方面多模光纤的较近,通常最远传输距离一般为几千米,而单模光纤较远,传输距离约为多模光纤的几十倍[4],且多模光纤的传输带宽收到模式色散支配,这也使多模光纤的应用链路传输速度难以得到大幅提高,也因此限制了多模光纤的信息传输容量。
为了解决单模光纤与多模光纤的限制,提出以下几种方法:一种是使用多芯光纤(MCF),另一种是使用双包层光纤(DCF)。多芯光纤拥有多个核心,而双包层光纤则是由单模芯和多模内包层组成。由于双包层光纤的双核结构,使该种光纤能够同时传输光数据信号和高功率馈电光,而信号和馈电光之间没有明显的串扰。因此,在试验中,最优选择为双包层光纤。
2.2 RoF与PWoF系统
光纤通信可以为网络提供稳定、高速的接入支持,可以满足长距离传输的需要;而无线通信可以让用户摆脱线缆的束缚,具有很强的移动性和灵活性。RoF技术是一种将光纤通信技术和无线通信技术相结合的技术[1],光载无线系统适应这个时代的特点,能够满足用户日益增长的大量高速的网络需求,为未来的通信和网络升级保驾护航。光载无线通信系统通常由中心局、光纤链路(Optic Link)、基站(Base Station,BS)和用户终端(User Station)4部分组成[2-4]。
一个基本的RoF系统的结构并不复杂,而且RoF系统还可以对信号进行调制,经过调制的信号经过光纤链路传输到达接收端,也就是RAU端。随后,传输的信号经过光电转换器转换后得到其原始信号。RoF系统在增加中心局的成本和设备复杂度的同时将基站部分简化,更有利降低接入网的组网成本,提高资源共享以及分配的灵活性,降低系统维护的成本以及难度[4]。
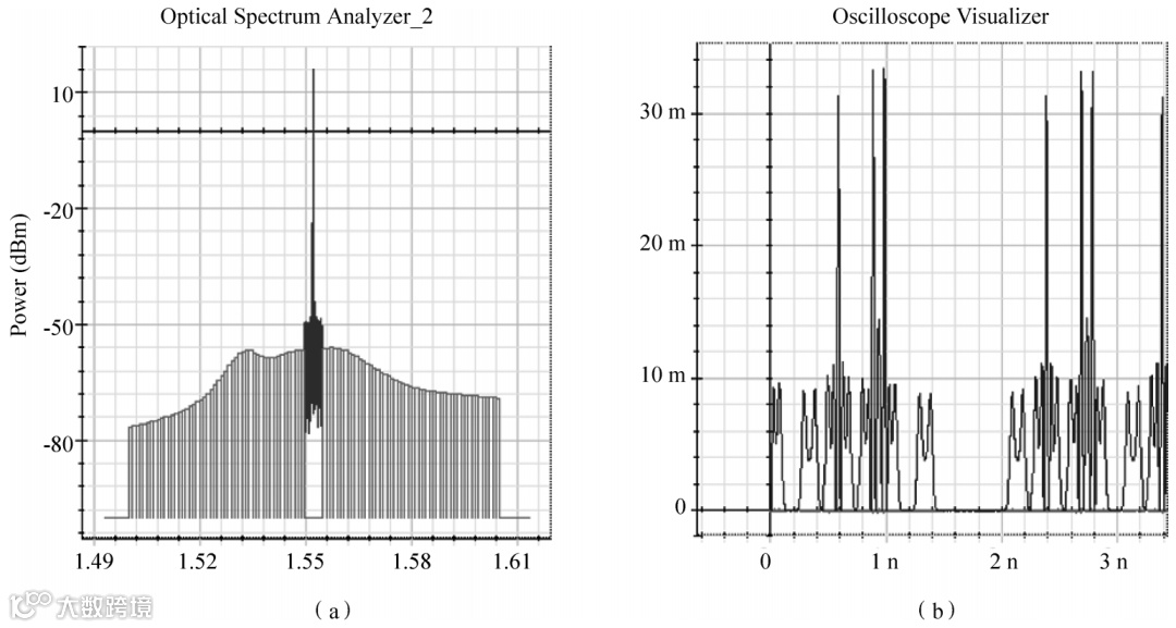
在进行试验时,需要设立信号观察点对信号进行观测。信号观测点主要位于以下部位:一侧是调制器的输出信号,此观测点可以对信号光谱进行分析;另一侧是在光纤传输中的信号,此观测点可测量还原信号,分析观测得到的数据后对RoF系统的有效性进行分析[4]。
光纤传能系统,简单来说就是传输能量的介质为光纤,并且可以将电能转换成光能传输的系统。光作为能量传输的形式与传统的电能传输相比有着显著的优点,其中最明显的优点是对发送与接收设备的绝缘性能不做要求。光纤传能系统主要由光电转换模块、光源、光纤、光接收模块组成。
光纤传能是现阶段的一种独特的能量传输方式。光纤传能稳定性较好,在极端环境条件下,此系统可以有效克服干扰,并为设备、必要电子器件供能,但由于器件发展的限制,PWoF的应用很有限。随着研究的不断发展以及特殊环境中应用的急切需求,光纤传能系统必在将来的传感网络中得到广泛的应用[4]。其中,在电力行业中应用广泛的电流互感器已经实现了商业化生成,在不远的未来,光纤传能必定能在更多领域实现产业化、规模化、商业化的发展与广泛的应用[5]。
3 RoF-PWoF系统模型以及仿真结果分析
3.1 系统模型
融合系统主要是基于RoF系统之上,整体框架都是在RoF系统的基础之上进行改进,然后在此基础上加入PWoF系统使能对远端天线单元供电,本试验利用OptiSystem软件对其进行仿真并得到相关数据。试验框架如图1所示。
本文刊于《信息通信技术与政策》2020年第12期
主办:中国信息通信研究院
《信息通信技术与政策》是工业和信息化部主管、中国信息通信研究院主办的专业学术期刊。本刊定位于“信息通信技术前沿的风向标,信息社会政策探究的思想库”,聚焦信息通信领域技术趋势、公共政策、国家/产业/企业战略,发布前沿研究成果、焦点问题分析、热点政策解读等,推动5G、工业互联网、数字经济、人工智能、区块链、大数据、云计算等技术产业的创新与发展,引导国家技术战略选择与产业政策制定,搭建产、学、研、用的高端学术交流平台。
《信息通信技术与政策》官网开通啦!
为进一步提高期刊信息化建设水平,为广大学者提供更优质的服务,我刊于2020年11月18日起正式推出官方网站,现已进入网站试运行阶段。我们将以更专业的态度、更丰富的内容、更权威的报道,继续提供有前瞻性、指导性、实用性的优秀文稿,为建设网络强国和制造强国作出更大贡献!
http://ictp.caict.ac.cn/
推荐阅读
你“在看”我吗?

