近日,电子科学与工程学院、电子薄膜与集成器件国家重点实验室齐静波教授课题组与合作者一起,在国际著名期刊《Nature Communications》和《Physical Review Letters》上相继发表相关研究成果,在太赫兹相关领域取得重要研究进展。

图1:外尔半金属中的时域太赫兹发射谱,改变入射飞秒激光的偏振态(不同圆偏振或线偏振)可以调控发射的太赫兹波性质,包括手性(用不同颜色代表)、椭偏性和强度
近年来,拓扑外尔半金属因为其独特的电子结构受到特别的关注,尤其是其中的圆偏振或线偏振光电效应(Circular or Linear Photogalvanic Effect)是未理解的现象之一。齐静波教授课题组与合作者在拓扑外尔半金属TaAs中发现了可调控的宽带手性太赫兹波发射,并揭示了该发现与外尔物理间的深层次关系。
研究成果以《外尔半金属TaAs中的手性太赫兹波发射》(“Chiral Terahertz Wave Emission from the Weyl Semimetal TaAs”)为题发表于国际著名学术期刊《Nature Communications》。课题组硕士研究生高羽为第一作者(电子科技大学为第一署名单位),齐静波教授作为通讯作者设计和指导了整个研究项目。美国纽约石溪州立大学Mengkun Liu教授和Dmitri Kharzeev教授课题组为本工作提供了理论支持,两位教授为论文的共同通讯作者。中科院物理所的翁红明研究员提供了理论帮助。中科院物理所李治林博士提供了高质量单晶材料。
齐静波教授课题组以典型的拓扑外尔半金属TaAs为例,系统的研究了该材料中的超快光电流、太赫兹发射及调控机制。研究结果表明,超快光电流在时域上是具有手性的,手性的调控可以通过改变圆偏振或线偏振光电效应相关的电流来实现的,进而改变入射飞秒激光的偏振状态会直接改变出射的太赫兹波的极化性质(线偏或椭偏)。实验发现光子能量的变化也会改变光电流及太赫兹辐射强度,在近红外波段达到最优值。
文中首次揭示了手性外尔费米子在倾斜的各向异性外尔锥和体带之间的选择性光学跃迁过程中,相对能带速度发生巨大变化引起了圆偏光电效应相关的高强度超快非热光电流,其强度依赖入射光的光子能量(ħω)。在近红外光谱附近满足关系:
。该工作为利用量子材料制造手性光源提供了一个全新设计概念,并为利用外尔物理研发超快光电子器件开辟了新的道路。

图2:费米面附近的手性外尔点在近红外附近的圆偏振光光电效应中起的关键作用
基于稀土材料与锕系金属化合物的f电子材料,在基础科学和国防科研中都非常重要,由于有很多丰富的物理性质,如非常规超导,强热电效应,奇异量子相变等,所以一直受到研究者的关注。这些奇异性质跟这类材料中电子能带重整化,或形成所谓的重费米子态息息相关。齐静波教授课题组与合作者通过超快光谱技术揭示了重费米子材料CeCoIn5中电子能带杂化演变过程,解决了目前该类体系中之前很多实验观察中的矛盾,同时指出了现有单杂质近藤效应(Kondo Effect)模型的缺陷。
研究成果以《CeCoIn5中电子能带杂化动力学的超快光谱研究》(“Hybridization Dynamics in CeCoIn5 Revealed by Ultrafast Optical Spectroscopy”)为题发表于国际著名学术期刊《Physical Review Letters》。课题组博士研究生刘羽鹏为第一作者(电子科技大学为第一署名单位),齐静波教授作为通讯作者设计和指导了整个研究项目。中科院物理所的杨义峰研究员课题组为本工作提供了理论支持,杨义峰研究员为论文的共同通讯作者。浙江大学的袁辉球课题组提供了高质量单晶材料。
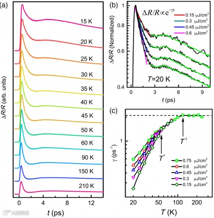
齐静波教授课题组以典型的重费米子体系CeCoIn5为研究对象,利用超快光谱实验手段系统地研究了液氦至常温范围内该体系中光激发载流子和集合激发的动力学。超快光学手段在不同的时间和空间尺度上探测到了准粒子的弛豫过程,进一步揭示了深层次的电子能带杂化动力学。研究结果表明,在55 K(T*:相干温度)以下时,材料的快弛豫过程随着泵浦光功率密度变化有显著变化,且随着温度上升变快。这意味着T*以下费米面附近能隙的打开,相干重费米子态的形成;在55 K(T*)以上时,快弛豫过程的速度不再随泵浦功率密度变化,但仍然随升温变快直至120K(T†>>T*)后趋于饱和平缓。这里的T*与T†,分别与先前输运实验与ARPES实验所得出的温度非常一致。上述观察到的温度演化揭示了以下两个物理过程:在T†以下时,电子能带结构已经开始变化,出现了所谓的“杂化涨落”,体系进入“预杂化”的状态;当温度降至T*以下时,进一步进入相干重电子态,这时体系受到一个间接窄带隙的保护。通过进一步的理论模型拟合,首次定量给出这个窄带隙大小~8 meV~2 THz。这两个物理过程统一解释了之前其它实验中得到的看似矛盾的结论。本工作也为理解重费米子体系中的物理机制提供了重要线索。

图3:CeCoIn5的泵浦-探测弛豫过程随温度及泵浦功率密度的变化
上述两个工作得到国家自然科学基金委、广东东莞核心科学技术前沿项目、和科技部重点研发计划等项目的资助。
齐静波教授2017年3月加入电子科技大学,其领导的课题组主要从事材料中的超快光谱和太赫兹谱研究,主要研究对象为拓扑、磁性、强关联超导和重费米子等量子材料体系。近年来,该课题组在新型太赫兹发射机制探索、自旋载流子超快调控等研究方向上做出了很多开拓性的工作,相关结果发表在《Physical Review Letters》《Nature Communications》等国际著名期刊。
来源:电子科技大学
原创RF测试笔记:


