不管多么经典的射频教程,为什么都做成黑白的呢?让想理解史密斯原图的同学一脸懵逼。

这是什么东东?

今天解答三个问题:
1、是什么?
2、为什么?
3、干什么?
1、是什么?
该图表是由菲利普·史密斯(Phillip Smith)于1939年发明的,当时他在美国的RCA公司工作。史密斯曾说过,“在我能够使用计算尺的时候,我对以图表方式来表达数学上的关联很有兴趣”。
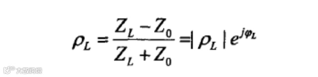
史密斯图表的基本在于以下的算式。
![]()
当中的Γ代表其线路的反射系数(reflection coefficient)
即S参数(S-parameter)里的S11,ZL是归一负载值,即ZL / Z0。当中,ZL是线路本身的负载值,Z0是传输线的特征阻抗(本征阻抗)值,通常会使用50Ω。
简单的说:就是类似于数学用表一样,通过查找,知道反射系数的数值。
2、为什么?
我们现在也不知道,史密斯先生是怎么想到“史密斯圆图”表示方法的灵感,是怎么来的。
很多同学看史密斯原图,屎记硬背,不得要领,其实没有揣摩,史密斯老先生的创作意图。
我个人揣测:是不是受到黎曼几何的启发,把一个平面的坐标系,给“掰弯”了。
我在表述这个“掰弯”的过程,你就理解,这个图的含义了。(坐标系可以掰弯、人尽量不要“弯”;如果已经弯了,本人表示祝福)

现在,我就掰弯给你看。
世界地图,其实是一个用平面表示球体的过程,这个过程是一个“掰直”。

史密斯原图,巧妙之处,在于用一个圆形表示一个无穷大的平面。
2.1、首先,我们先理解“无穷大”的平面。
首先的首先,我们复习一下理想的电阻、电容、电感的阻抗。
在具有电阻、电感和电容的电路里,对电路中的电流所起的阻碍作用叫做阻抗。阻抗常用Z表示,是一个复数,实际称为电阻,虚称为电抗,其中电容在电路中对交流电所起的阻碍作用称为容抗 ,电感在电路中对交流电所起的阻碍作用称为感抗,电容和电感在电路中对交流电引起的阻碍作用总称为电抗。 阻抗的单位是欧姆。
R,电阻:在同一电路中,通过某一导体的电流跟这段导体两端的电压成正比,跟这段导体的电阻成反比,这就是欧姆定律。
标准式:
。(理想的电阻就是 实数,不涉及复数的概念)。
如果引入数学中复数的概念,就可以将电阻、电感、电容用相同的形式复阻抗来表示。既:电阻仍然是实数R(复阻抗的实部),电容、电感用虚数表示,分别为:

Z= R+i( ωL–1/(ωC))
说明:负载是电阻、电感的感抗、电容的容抗三种类型的复物,复合后统称“阻抗”,写成数学公式即是:阻抗Z= R+i(ωL–1/(ωC))。其中R为电阻,ωL为感抗,1/(ωC)为容抗。
(1)如果(ωL–1/ωC) > 0,称为“感性负载”;
(2)反之,如果(ωL–1/ωC) < 0称为“容性负载”。
我们仔细看阻抗公式,它不再是一个实数。它因为电容、电感的存在,它变成了一个复数。

电路中如果只有电阻,只影响幅度变化。

我们通过上图,我们知道,正弦波的幅度发生了变化,同时,相位也发生了变化,同时频率特性也会变化。所以我们在计算的过程中,即需要考虑实部,也需要考虑虚部。
我们可以在一个复平面里面,以实部为x轴、以虚部为y轴,表示任意一个复数。我们的阻抗,不管多少电阻、电容、电感串联、并联,之后,都可以表示在一个复平面里面。

在 RLC 串联电路中,交流电源电压 U = 220 V,频率 f = 50 Hz,R = 30 Ω,L =445 mH,C =32 mF。


在上图中,我们看到通过几个矢量的叠加,最终阻抗在复平面中,落在了蓝色的圆点位置。
所以,任意一个阻抗的计算结果,我们都可以放在这个复平面的对应位置。
各种阻抗的情况,组成了这个无穷大的平面。
2.2、反射公式
信号沿传输线向前传播时,每时每刻都会感受到一个瞬态阻抗,这个阻抗可能是传输线本身的,也可能是中途或末端其他元件的。对于信号来说,它不会区分到底是什么,信号所感受到的只有阻抗。如果信号感受到的阻抗是恒定的,那么他就会正常向前传播,只要感受到的阻抗发生变化,不论是什么引起的(可能是中途遇到的电阻,电容,电感,过孔,PCB转角,接插件),信号都会发生反射。

钱塘江大潮,就是河道的宽度变化引起了反射,这跟电路中阻抗不连续,导致信号反射,可以类比。反射聚集的能量叠加在一起,引起的过冲。也许这个比喻不恰当,但是挺形象。
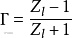
那么有多少被反射回传输线的起点?衡量信号反射量的重要指标是反射系数,表示反射电压和原传输信号电压的比值。
反射系数定义为:

其中:Z0为变化前的阻抗,ZIN为变化后的阻抗。假设PCB线条的特性阻抗为50欧姆,传输过程中遇到一个100欧姆的贴片电阻,暂时不考虑寄生电容电感的影响,把电阻看成理想的纯电阻,那么反射系数为:

信号有1/3被反射回源端。
如果传输信号的电压是3.3V电压,反射电压就是1.1V。 纯电阻性负载的反射是研究反射现象的基础,阻性负载的变化无非是以下四种情况:阻抗增加有限值、减小有限值、开路(阻抗变为无穷大)、短路(阻抗突然变为0)。

初始电压,是源电压Vs(2V)经过Zs(25欧姆)和传输线阻抗(50欧姆)分压。
Vinitial=1.33V
后续的反射率按照反射系数公式进行计算

源端的反射率,是根据源端阻抗(25欧姆)和传输线阻抗(50欧姆)根据反射系数公式计算为-0.33;
终端的反射率,是根据终端阻抗(无穷大)和传输线阻抗(50欧姆)根据反射系数公式计算为1;
我们按照每次反射的幅度和延时,在最初的脉冲波形上进行叠加就得到了这个波形,这也就是为什么,阻抗不匹配造成信号完整性不好的原因。


那么我们做一个重要的假设!
为了减少未知参数的数量,可以固化一个经常出现并且在应用中经常使用的参数。这里Z0 (特性阻抗)通常为常数并且是实数,是常用的归一化标准值,如50Ω、75Ω、100Ω和600Ω。
假设Z0一定,为50欧姆。(为什么是50欧姆,此处暂时不表;当然也可以做其他假设,便于理解,我们先定死为50Ω)。
那么,根据反射公式,我们得到一个重要的结论:

每一个Zin对应唯一的 “Γ”,反射系数。
我们把对应关系描绘到刚刚我们说的“复平面”。
于是我们可以定义归一化的负载阻抗:
据此,将反射系数的公式重新写为:

好了,我们在复平面里面,忘记Zin,只记得z(小写)和反射系数“Γ”。
准备工作都做好了,下面我们准备“弯了”

2.3 掰弯

在复平面中,有三个点,反射系数都为1,就是横坐标的无穷大,纵坐标的正负无穷大。历史上的某天,史密斯老先生,如有神助,把黑色线掰弯了,把上图中,三个红色圈标注的点,捏到一起。
弯了,弯了

圆了,圆了。

完美的圆:

虽然,无穷大的平面变成了一个圆,但是,红线还是红线,黑线还是黑线。
同时我们在,原来的复平面中增加三根线,它们也随着平面闭合而弯曲。

黑色的线上的阻抗,有个特点:实部为0;(电阻为0)
红色的线上的阻抗,有个特点:虚部为0;(电感、电容为0)
绿色的线上的阻抗,有个特点:实部为1;(电阻为50欧姆)
紫色的线上的阻抗,有个特点:虚部为-1;
蓝色的线上的阻抗,有个特点:虚部为1;

线上的阻抗特性,我们是从复平面,平移到史密斯原图的,所以特性跟着颜色走,特性不变。



下半圆与上班圆是一样的划分。

因为史密斯圆图是一种基于图形的解法,所得结果的精确度直接依赖于图形的精度。下面是一个用史密斯圆图表示的RF应用实例:
例: 已知特性阻抗为50Ω,负载阻抗如下:
| Z1 = 100 + j50Ω | Z2 = 75 - j100Ω | Z3 = j200Ω | Z4 = 150Ω |
| Z5 = ∞ (an open circuit) | Z6 = 0 (a short circuit) | Z7 = 50Ω | Z8 = 184 - j900Ω |
对上面的值进行归一化并标示在圆图中(见图5):
| z1 = 2 + j | z2 = 1.5 - j2 | z3 = j4 | z4 = 3 |
| z5 = 8 | z6 = 0 | z7 = 1 | z8 = 3.68 - j18 |

我们看不清上图。
如果是“串联”,我们可以在清晰的史密斯原图上,先确定实部(红线上查找,原来复平面的横坐标),再根据虚部的正负,顺着圆弧滑动,找到我们对应的阻抗。(先忽略下图中的绿色线)

现在可以通过圆图直接解出反射系数Γ。
我们既可以通过直角坐标,去直接读取反射系数的值,也可以通过极坐标,读取反射系数的值。
直角坐标
画出阻抗点(等阻抗圆和等电抗圆的交点),只要读出它们在直角坐标水平轴和垂直轴上的投影,就得到了反射系数的实部Γr和虚部Γi (见图6)。
该范例中可能存在八种情况,在图6所示史密斯圆图上可以直接得到对应的反射系数Γ:
| Γ1 = 0.4 + 0.2j | Γ2 = 0.51 - 0.4j | Γ3 = 0.875 + 0.48j | Γ4 = 0.5 |
| Γ5 = 1 | Γ6 = -1 | Γ7 = 0 | Γ8 = 0.96 - 0.1j |
从X-Y轴直接读出反射系数Γ的实部和虚部
极坐标

极坐标表示,有什么用?非常有用,这其实也是史密斯原图的目的。
2.4 红色阵营VS绿色阵营

刚刚我们已经注意到,史密斯原图,除了有红色的曲线,是从阻抗复平面掰弯,过来的红色世界。同时,在图中,还有绿色的曲线,他们是从导纳复平面,掰弯产生的。过程跟刚刚的过程是一样的。
那么这个导纳的绿色,有什么用呢?
并联电路,用导纳计算,我们会很便利。同时在史密斯原图中,我们用导纳的绿色曲线进行查询,也会很方便。


如图,这样并联一个电容,通过绿色的曲线很快就可以查询到对应的归一化阻抗和反射系数。
3、干什么?
解释和介绍了史密斯圆图这么长的段落,别忘了,我们想干什么。我们实际是希望,我们设计的电路反射系数越接近0越好。
但是,什么样的电路是合格的电路呢?反射系数不可能理想的为0,那么我们对反射系数,有什么样的要求呢?
我们希望反射系数的绝对值小于1/3,即反射系数落入史密斯圆图的蓝色区域中(如下图)。

这个蓝色的球,有什么特色呢?其实我们通过史密斯原图的数值已经清楚的发现。在中轴线,也就是之前说的红线上,分别是25欧姆,和100欧姆两个位置。即:Zin在1/2 Zo和2倍Zo之间的区域。
也就是,我们打靶打在蓝色区域,即认为反射系数是可以接受的。
关于史密斯圆图还有很多有趣和有用的现象。欢迎大家留言探讨。
来源:硬件十万个为什么
相关阅读:
微波射频行业人士 | 相聚在这里
【10大细分领域的微信技术交流群】
微波射频网已建立射频、天线、雷达、毫米波、手机射频、RFIC、功放、SDR等细分领域的技术交流群,提供一个互相交流的平台,促进技术进步。

长按识别上方二维码加群主为好友,说明:单位+技术方向,邀请您加入相应技术群!

