RF测试笔记是业界一线工程师通过理论和实践相结合的方式介绍射频微波测试技术的专栏,主要涵盖噪声系数、数字调制、矢网、频谱分析、脉冲信号等内容。如有想看到的内容或技术问题,可以在文尾写下留言。
快速傅里叶变换(FFT)实现了时域到频域的转换,是信号分析中最常用的基本功能之一。FFT变换时,总是从离散数据中选取一部分处理,将其称为一帧数据。而且FFT是在一定假设下完成的,即认为被处理的信号是周期信号。因此,FFT之前会对这一帧数据进行周期扩展。
以CW信号为例,如果选取的这一帧数据不是信号周期的整数倍,则在周期扩展时会存在样点的不连续性,如图1所示。这将导致FFT之后得到的频谱失真,主要体现在频率成分上。理论上,频谱中只包含待测信号的频率,但实际上此时的频谱包含众多的频率分量。通常将这种现象称为频谱泄露效应。

图1. 周期扩展造成样点不连续
为了抑制频谱泄露效应,可以采用诸如Hanning、Kaiser等多种时间窗。还有一种特殊的时间窗——矩形窗,其实就是不加时间窗,直接对原始样点做FFT变换,上述例子就是采用矩形窗的情况。只有采用矩形窗,而且窗宽度不是信号周期的整数倍时,才会发生明显的频谱泄露效应。
本文的重点并非介绍如何采用时间窗抑制频谱泄露效应,而是从理论上剖析采用矩形窗时造成频谱泄露的本质。
1. 为什么会造成频谱泄露?
图1所示的样点不连续也意味着相位不连续,存在180°相位反转。总体来讲,可以将其理解为相位调制,而且是一种特殊的相位调制,调制信号不是经典的正弦波信号,而是方波信号,可以将调制信号写为如下形式:

式中,T 为调制信号的周期,为一帧波形时长的两倍。这意味着在t=0 时刻,载波的相位发生了变化。
既然可以理解为相位调制,则可将已调信号写为如下形式:

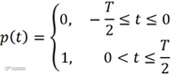
式中φm为相位偏移,对于图1的例子,φm=π。很显然,调制信号已经不再是单频点信号,而是多频点信号。对于图2所示的周期为T 的方波信号,其频谱包含DC、基波及其众多的奇次谐波分量 。

图2. 调制信号p(t)的时域波形
满足Dirichlet 条件时,任何周期函数均可以进行傅里叶级数展开,p(t) 可以写为:

式中,Ω为方波信号的基波频率,Ω=2π/T。
经过计算,可以得到an 和bn 如下:

这意味着p(t) 只包含DC、基波及其奇次谐波,但阶数越高,谐波强度越弱。
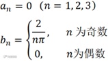
可以将p(t) 重新写为:

为简便起见,首先考虑调制信号只包含DC和基波的情况,这又回到经典的相位调制。

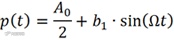
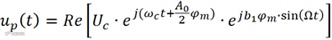
将其代入已调信号up (t) 后可得

上式可以写为复指数形式

为了进一步分析,可将
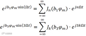
进行傅里叶级数展开,其展开式为宗数为b1φm的第一类贝塞尔函数:

将其代入复指数表达式

则up (t) 可重新表示为

可以看出,当只考虑调制信号的DC和基波时,已调信号up (t)将包括ωc及ωc+nΩ(n为整数) 等众多频率分量。
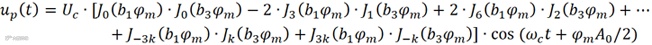
实际中调制信号还包含丰富的谐波分量,因此对载波进行相位调制后的频谱更加丰富。面对的困难是,考虑的谐波越多,公式推导越复杂。为了简化,下面只考虑到3次谐波。

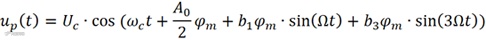
对应的已调信号为

类似地,可以写为如下复指数形式

将
、
分别进行傅里叶级数展开为

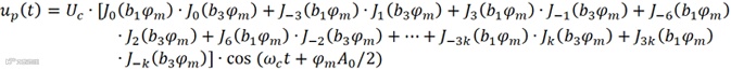
经过一番推导可得

由此可见,当考虑到调制信号的三次谐波时,已调信号up (t) 的频谱更加丰富,包括ωc、ωc+nΩ 、ωc+3kΩ及ωc+nΩ+3kΩ(n,k为整数) 等众多频率分量。
以此类推,当考虑p(t) 更高阶的谐波时,将会有更多的频率项,但是从频率上看,各个频率分量都是均匀分布的,而且相邻谱线之间的间距始终为基波Ω。
2. 下面讨论一下up (t) 主要频率分量的幅度。
(1) 首先考虑载波ωc的幅度,以上面考虑到三次谐波的情况为例。当nΩt+3kΩt=0 时,对应的就是载波分量。这要求n=-3k (k 为整数),此时可以得到:

对于第一类贝塞尔函数Jn (x),其奇偶特性如下:
当n 为奇数时,Jn (x) 为奇函数;当n 为偶数时,Jn (x) 为偶函数。
进一步化简可得

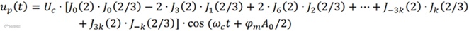
因以上考虑的都是相位偏移 φm=π的情况,故b1φm=2,b3φm=2/3,代入上式得

对于第一类贝塞尔函数,Jn (2)=Jn (2/3)=0 (n≥5),则

根据第一类贝塞尔函数,上式计算得到的载波信号幅度非常微弱。
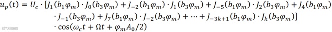
(2) 频率分量ωc+Ω的幅度分析。当n=-3k+1 时,对应的就是ωc+Ω频率分量。

由于
,且Jn (2)=Jn (2/3)=0 (n≥5),上式进一步化简得

该频率分量的幅度要远远大于载波的幅度!
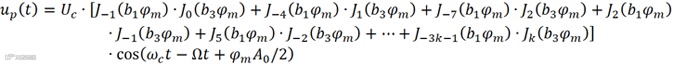
(3) 频率分量ωc-Ω的幅度分析。当n=-3k-1 时,对应的就是ωc-Ω频率分量。

由于
,且Jn (2)=Jn (2/3)=0 (n≥5),上式进一步化简得

该频率分量的幅度也远远大于载波的幅度!
而且对比 ωc+Ω 和 ωc-Ω 两个频率分量,它们的幅度相同!也就是说,从频谱上看,它们是关于载波对称的!
(4) 频率分量ωc+2Ω 的幅度分析。当n=-3k+2 时,对应的就是ωc+2Ω 频率分量。
虽然(n,k) 的组合很多,但是当阶数较大时,Jn (2)= Jn (2/3)=0 (n≥5),因此可得

经过计算,该频率分量的幅度非常微弱。
(5) 频率分量ωc-2Ω 的幅度分析。当n=-3k-2 时,对应的就是ωc-2Ω 频率分量。
虽然(n,k) 的组合很多,但是当阶数较大时,Jn (2)= Jn (2/3)=0 (n≥5),因此可得

该频率分量与ωc+2Ω 的幅度相同,依然非常微弱。
上面从理论上解释了频谱泄露的起因,而且当发生频谱泄露时,会产生众多的、分布均匀的频率分量,相邻谱线的频间距取决于FFT时一帧波形的时长。
值得一提的是,相位偏移 φm不仅对各个频率分量的幅度有影响,也会影响频率分布,以后有机会再来解释这一点。
3. 通过使用AWG播放一个CW信号验证上述推导。
使用AWG 输出一个100MHz 频率的CW 信号,波形时长为10.5个周期,如图3所示,当循环播放时便可以模拟上述的相位不连续性,会造成180°的相位跳变。
对于这种波形时长不是信号周期整数倍的情况,当单次播放时,信号的频率就是100MHz ,但是当连续播放时相当于引起了相位调制,按照上述理论分析,频谱中将包含很多频率成分,图4给出了信号的实测频谱。
本例中,波形时长为105ns,这意味着频谱中相邻谱线之间的频率间隔约为:4.76MHz,这与图4所示的频谱是吻合的。

图3. 波形时长为10.5个信号周期

图4. 时域波形及其频谱
小结
对于使用矩形窗进行FFT时可能存在的频谱泄露效应,本文从理论上定性地进行了分析。究其原因,是因为当进行周期扩展时造成了相位的不连续。相位的不连续可以当作相位调制来处理,经过一系列推导最终解释了为什么会出现众多的频率成分。文中还对特定相位偏移情况下的频率分量的幅度进行了分析。文末通过一个实例模拟了这种相位不连续,并测试了波形和频谱,实测结果与理论推导相吻合。
微波射频行业人士 | 相聚在这里
【10大细分领域的微信技术交流群】
微波射频网已建立射频、天线、雷达、毫米波、手机射频、RFIC、功放、SDR等细分领域的技术交流群,提供一个互相交流的平台,促进技术进步。

长按识别上方二维码加群主为好友,说明:单位+技术方向,邀请您加入相应技术群

