1
摘要
本文基于ANSYS HFSS软件仿真分析一种新型的毫米波圆极化宽波束平行平板天线。传统的平行平板天线应用两个相距大约半个波长的金属平行平板,构成一个波导结构支持TE波的辐射。文献Kai Lu and Kwok Wa Leung, “On the Circularly Polarized Parallel-Plate Antenna,” IEEE Trans. Antennas Propag., vol. 68, no. 1, pp. 3-12 Jan. 2020.中指出如果对上述平行平板结构施加一个不与平板平行的电流激励,那么这种结构也支持TEM波。由于TE波的相速度高于TEM波的相速度,当平行平板的高度恰好使得TE波的相位和TEM波的相位相差90度的时候,传统的线性极化平行平板天线就可以转化成圆极化天线。
2
HFSS仿真流程
2.1 平行平板天线的圆极化原理

2.2 参数选取
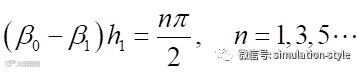
,h1=16.6mm
,l1=2h1=33.3mm。
,l3=8.64mm。开孔槽的尺寸选择主要考虑要充分利用馈电波导的有效面积,这里选取
,l2=6.3mm。
,w1=6.0mm,w2=1.0mm
,l4=12mm
,d5=2.35mm
,l5=2.5mm。

,R和spsinr的取值满足上述的阻抗匹配原则即可。
2.3 建模
方向上,包裹极化器和天线部分且超出5mm。创建完成后的模型如图所示(其中包含用于后处理的非模型的两个几何面)。
2.4 激励和边界条件
2.5 求解设置
3
HFSS仿真结果
3.1 辐射电场矢量图
3.2 TEM模和TE1模电场云图
3.3 S参数
3.4 轴比和天线的实际增益


3.5 远场方向图
3.6 天线优化
,其他设置均不改变,重复上述仿真过程。
3.7 半圆平行平板天线的S参数

3.8 半圆平行平板天线的轴比和天线的实际增益

3.9 远场方向图
4
投入资源与时间
5
结论

投稿&专栏合作 请加小编微信号:18675536035


