学个Antenna是以天线仿真和调试为主,理论原理为辅的干货天线技术专栏,包括天线入门知识以及各类天线的原理简介、仿真软件建模、设计、调试过程及思路。如有想看到的内容或技术问题,可以在文尾写下留言。

在浅谈阵列天线及布阵一文中,我们知道了均匀直线阵的第一副瓣电平为-13.5dB。为了使雷达系统具有较高的抗干扰、抗反辐射导弹等的能力,现代电子战对雷达天线提出了越来越低的副瓣要求。采用切比雪夫综合法、泰勒综合法等设计方法就可实现低副瓣。
本文使用的软件为CST 2018和MATLAB R2019a

%matlab codeclear;clc;N=10;format long;x=-pi/2:0.01:pi/2;y=abs(sin(N*x)./(N*sin(x)));%find first sidelobe[value1,id1]=findpeaks(y);[value2,id2]=sort(value1);first_sidelobe=20*log10(value2(end-1));location=x(id1(floor(length(id1)/2)));plot(x,y,'r','linewidth',2);set(gca,'linewidth',3);xlabel('\psi','Fontsize',12);axis([-pi/2,pi/2,0,1]);h=legend({strcat('$$\left| {{{\sin \left( {N\psi} \right)} \over {N\sin \left( \psi \right)}}} \right|,N=',num2str(N),'$$'),...},'interpreter','latex');title({strcat('第一副瓣电平(dB):',num2str(first_sidelobe));strcat('位置:',num2str(location))});set(h,'FontName','Times New Roman','FontSize',12,'FontWeight','normal');



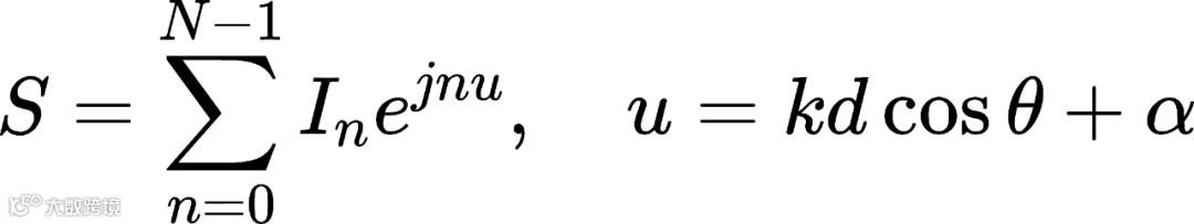
由于一个 次幂的多项式有 个复根,因此归一化的上式可以写成 个因式的连乘积形式:

式中, 是多项式的根(零点)。自变量 的相位与 、 和 有关。
自变量 的轨迹是复平面内的一个圆,下图为已知 和 时, 的轨迹随 变化:

以五元等间距阵列为例,绘制除了四个零点在单位圆(复坐标轴)上的分布如下所示:

易得五元阵的阵因子模值可表示为:
图中当自变量点 位于 和 两个零点的中间位置时, 就可近似看为第 个副瓣的峰值。主瓣区在点 和点 之间, 点为最大值点,其余零点间的区域为副瓣区。如果能使四个零点都往 点靠近,那么副瓣肯定会降低,同时容易看出主瓣区域变大,主波束宽度增加,从而导致增益下降。
由于常规的阵列天线,其副瓣电平较高。为了使雷达系统具有较高的抗干扰、抗反辐射导弹等的能力,往往要求对阵列天线的幅度进行加权以实现低副瓣特性。采用道尔夫—切比雪夫综合法、泰勒综合法等设计的阵列天线就可实现低副瓣。
本节讲述一种在实际工程中常用的阵列天线综合方法——道尔夫-切比雪夫综合法。
切比雪夫阵列的特点是 :
(1) 等副瓣电平;
(2) 在相同副瓣电平和相同阵列长度下主瓣最窄,称为最佳阵列;
(3) 单元数多,且副瓣电平要求不是很低时,阵列两端单元激励幅度跳变大,使馈电困难。
在这里简单介绍下切比雪夫多项式:
切比雪夫多项式在逼近理论中有重要的应用。这是因为第一类切比雪夫多项式的根(被称为切比雪夫节点)可以用于多项式插值。相应的插值多项式能最大限度地降低龙格现象,并且提供多项式在连续函数的最佳一致逼近。 百度百科
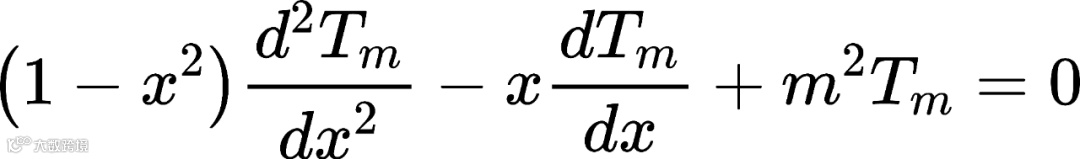
在微分方程的研究中,数学家提出切比雪夫微分方程:

第一类切比雪夫多项式由以下递推关系确定:
下面通过MATLAB软件编程绘制前四项切比雪夫多项式:
x=-1.5:0.01:1.5;T1_x=x;T2_x=2*x.^2-1;T3_x=4*x.^3-3*x;T4_x=8*x.^4-8*x.^2+1;h1=plot(x,T1_x,'r','linewidth',3);hold on;h2=plot(x,T2_x,'g','linewidth',3);h3=plot(x,T3_x,'b','linewidth',3);h4=plot(x,T4_x,'c','linewidth',3);axis([-1.5 1.5 -6 6]);set(gca,'linewidth',3);xlabel('x','fontName','Times New Roman','fontsize',18);ylabel('T_n(x)','fontName','Times New Roman','fontsize',18);%绘制虚线xx=-1:0.1:1;y1=-1*ones(1,length(xx));y2=1*ones(1,length(xx));h5=plot(xx,y1,'--k','linewidth',1);h6=plot(xx,y2,'--k','linewidth',1);yy=-1:0.1:1;x1=-1*ones(1,length(yy));x2=1*ones(1,length(yy));h7=plot(x1,yy,'--k','linewidth',1);h8=plot(x2,yy,'--k','linewidth',1);%图例legend([h1,h2,h3,h4],'T_1(x)','T_2(x)','T_3(x)','T_4(x)','Location','Best');hold off;

上图给出了前四阶切比雪夫多项式,从这些曲线不难发现:
-
对于 , 有 。在这个范围内,切比雪夫多项式的函数值在 1之间呈现等波纹振荡。
不过,上面给出的切比雪夫多项式只适用于 的范围;当 时, 要满足 , 则 必须是一个纯虚数, 即 为实数 。因此需要对微分方程进行变量替换:
于是初始的切比雪夫微分方程可变形为:
最终求得切比雪夫函数在整个 轴的解:

注意到切比雪夫函数的形式为 :
而当阵列激励分布为对称分布时,则导出的阵因子也可表示为 的形式。

如上图所示,奇数单元的阵列可将中间单元拆分为两个位置重合的单元,这样奇/偶数单元阵列导出的阵因子在形式上基本一样。这里以奇数单元阵列 为例,其阵因子为:

利用欧拉公式,很容易就可以将对称的两个单元的阵因子项相加变为 的形式。
经过化简,得到归一化阵因子为:

为了确定给定低副瓣指标下的各单元的激励幅度值,后面需要采用待定系数法,巧妙地将阵因子与限定区间内呈现等波纹特性的 函数联系起来。
同理可得:

对于 (偶数阵, ),阵因子可表示为(另一半对称,左右滑动公式查看全貌):

无量纲形式的主副瓣比为 ,采用用变量代换令 ,其中 满足 。这样将 用 进行替换并展开 :


比较同类项系数,解线性方程组即可得出能实现给定主副瓣比,对应的 的值。
经过简单的编程后,我们可以综合单元数大于3的线阵,求得其切比雪夫幅度加权对应的激励单元馈电幅度分布。MATLAB p文件代码附在文末的下载链接。
运行该p文件后,计算10单元,30dB低副瓣情况下对应的激励幅度分布为:


在浅谈阵列天线及布阵中仿真过一个微带贴片线阵:


当单元个数为10,且全激励的情况下其主副瓣比还是比较高的,因此我们将上面的切比雪夫加权对应的幅度值设置给各天线单元激励端口。
从下面对比结果不难看出,经过切比雪夫幅度加权后的10单元线阵,其相对副瓣电平从原来的-13.25dB下降到了-30dB。不过天线的实际增益也因此少了0.75dB,也算是有得必有失吧。(由于线阵的地板不够大,因此其后瓣较高,因此这个实例中我们主要观察主瓣和第一副瓣的差值)
左图为等幅度激励
右图为切比雪夫幅度加权
左图为等幅度激励
右图为切比雪夫幅度加权
当然,你也可以尝试综合20,30单元的低副瓣,仿真相应的线阵进行幅度加权,看看实际得到的副瓣是否还满足需求。
PDF文件在下面的总文件夹进行更新:低副瓣阵列的设计原理
https://pan.baidu.com/s/1wi7BcSFhpvdU6lvb2vFqcg
提取码:q8ra
END
原创不易,多多点赞转发,给作者点个喜欢赞赏呗
!
探究6G-太赫兹通信(亚太赫兹区域天线特性的OTA测量和通道测量)
在线讲座:雷达系统相位相参多通道脉冲分析(10月12日)
《微波器件测量手册》作者Joel博士 详解全新PNA网络分析仪及进行微波元器件测量
在线讲座:面向5G及未来通信的高性能增材制造微波毫米波功能性器件(10月26日)



