RF测试笔记是业界一线工程师们通过理论和实践相结合的方式介绍射频微波测试技术的专栏,主要涵盖噪声系数、数字调制、矢网、频谱分析、脉冲信号等内容。如有想看到的内容或技术问题,可以在文尾写下留言。
相位噪声是非常重要的射频指标。在通信系统中,相位噪声会影响矢量调制信号的矢量调制误差并恶化误码率。在雷达应用中,相位噪声会影响雷达相参处理增益和杂波抑制能力。在高速数字电路中,相位噪声引起的抖动也会影响数字电路的最高工作频率。
相位噪声是振荡器在短时间内频率稳定度的度量参数。理想正弦波信号可以表示如下:
A (t) =A0 cos(ω0 t +φ )
真实情况下,幅度、频率、相位都可能因为噪声而存在波动。数学上,频率的波动和相位的波动可以合并为一项,统一由相位的波动表示。真实的正弦波信号可以表示如下:
A (t) =A0 [1+α(t) ] cos[ ω0 t +φ(t) ]
其中α(t) 为幅度波动,φ(t) 为相位波动。幅度噪声和相位噪声都会引起信号频谱的展宽。
一、相位噪声的频谱定义与测试方法
对相位噪声的描述一般不采用时域的方式描述,而采用频域的方式描述,这样可以描述偏离载波不同频偏处的相位噪声。
传统的相位噪声是如下定义的:以载波的幅度为参考,在偏移一定的频率下的单边带相对噪声功率。这个数值是指在1Hz的带宽下的相对噪声电平,其单位为dBc/Hz。我们可以称之为相位噪声的频谱定义。

图 1、相位噪声的频谱定义示意图
这种相位噪声的定义可以方便的使用频谱仪测试,因而也是最广为人知的相位噪声定义。在1988年版本的“IEEE基本频率和时间计量物理量的标准定义”(IEEE standard 1139-1988)也是采用的此定义。
但是频谱仪测量相位噪声却有不少局限性:
· 测量灵敏度不高,受到频谱仪固有相位噪声的限制。因为频谱仪是超外差接收机结构,接收机本振的相位噪声限制了频谱仪测量相位噪声的灵敏度。
· 无法区分调幅噪声和相位噪声,因为两者都会引起频谱的展宽。
· 无法测量非常近载波的相位噪声,最小频偏受分辨率滤波器形状因子限制。
· 频谱仪动态范围也限制了相位噪声测量灵敏度。由于噪声功率与载波功率之间差别巨大,频谱仪的动态范围也限制了相位噪声测量灵敏度。
二、相位噪声的相位定义与测试方法
为了测量相位噪声有更高的灵敏度,工程师们改进了相位噪声测试的方法,同时也改变了相位噪声的定义。这种新的测量方法就是直接测量信号相位的鉴相器法。
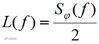
在1999年版本的“IEEE基本频率和时间计量物理量的标准定义”(IEEE standard 1139-1999)中,将相位噪声的定义修改为:单边带相位噪声L(f) 定义为随机相位波动φ(t) 单边带功率谱密度Sφ (f) 的一半,其单位为dBc/Hz。我们可以称之为相位噪声的相位定义。

这个定义回归了相位波动φ(t) 这个物理量,采用了频域表述,而1/2的系数则是为了和以前的定义的结果保持一致。
鉴相器法通过鉴相器直接测量信号的相位时域波动,通过FFT变换得到频域描述的相位噪声。

图 2、鉴相器法测量相位噪声
鉴相器法可以结合锁相环自动锁定待测信号,实现自动测试。另外,鉴相器法可以结合互相关算法,使用两套独立的硬件从而大幅提高相位噪声的测量灵敏度。
鉴相器方法测量相位噪声的优点有:
· 可以区分调幅噪声和相位噪声
· 测量相位噪声的灵敏度大幅度提高,互相关算法可突破仪表自身相位噪声的限制。鉴相器的载波抑制效果可以回避动态范围问题。
· 可以测量近载波的相位噪声。
三、两种定义的差异
射频工程师在测量相位噪声时,很可能两种定义都会接触到。当使用频谱仪测试时,是依据相位噪声的频谱定义;当使用更专业的相位噪声分析仪(或称为信号源分析仪)测试时,则是依据相位噪声的相位定义。那么两种定义下测量出的相位噪声是否有差异呢?
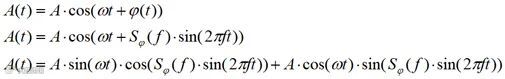
我们可以考虑一种最简单的情况,没有幅度波动,只考虑相位波动φ(t) 的一个频率分量:Sφ (f) ·sin(2πft ):

当相位噪声的频谱分量Sφ (f) 较小时,根据
和
的一阶小量近似。

角频率ω的载波信号幅度为A,角频率ω+2πf 和ω-2πf 的噪声信号的幅度为
。偏离载波f的噪声信号与载波功率之比为:
。两种定义一致。
因此,在相位噪声较小时,两种定义得到的测量结果是一致的。而一般工程上需要测量相位噪声的情况都是相位噪声比较小的情况,因此无需担心两种定义的测量差异。按照工程经验,在相位噪声小于-80dBc/Hz时,两种定义之间的测量差异可以忽略。
但是两种定义并非没有区别,新的相位定义已经取代了传统的频谱定义,并且新的定义在数学上更加简洁、更加回归物理量的本质。同时,新的相位定义并不排斥相位噪声大于0 dBc/Hz的情况,下次如果发现近载波相位噪声的测量结果大于0 dBc/Hz,也无需太过惊讶。
以上便是要给大家分享的内容,希望对大家有所帮助~~
大家持续关注“微波射频网”,后续精彩不断~
本期原创工程师:皓月
射频技术问题到“射频问问” 互助互学
RFbuy射频商城 - 微波射频器件快购平台


