这是4D雷达系列第1季的最后一期。
这期聚焦于角度维处理。
坦率的讲,上一期(加餐)天线布局设计指南1也算是角度维处理的重要一环,只不过侧重点在于天线布阵,分析在芯片收发通道有限的条件下,怎么通过合理的设计天线布局进一步伺候好角度维3个祖宗:测角范围,测角精度,测角分辨率。
光靠天线布局伺候当然不够,这期侧重从角度维算法来分析如何进一步提高雷达角度维处理能力。
我在之前的文章提过很多遍:角度维处理是毫米波雷达信号处理最让人操心的环节之一,原因在于,考虑到成本,硬件体积,功耗等各种因素,即使采用MIMO技术,我们获取的目标空间采样信息仍然十分有限,这是其一;其二,不同于速度维以及距离维,角度维空间采样的能量分布存在差异(天线设计因素),并且角度与估计频率是非线性关系。这就使得,毫米波雷达接收端获得较高的角度估计分辨率及精度,尤其是大FoV下的高角度估计分辨率及精度具有相当大的挑战。
这还只是角度维单目标的情形,如果角度维存在多目标(同速同距),则测角精度及测角分辨率问题将更加复杂一些,这是本期的重点,后文会详细分析。
在分析4D雷达角度维处理之前,我们先回到传统雷达,看看传统雷达如何应对角度维处理,由于距离多普勒来源于时间采样,而角度来自于空间采样,而在时间上形成高分辨比空间上形成高分辨要容易得多;另一方面,经典车载雷达处理链路为range-doppler-angle,所以一种典型思路是,通过合理的波形参数设计,使得环境目标在range-Doppler map上得到充分分离,这样留给角度维的压力是不是小很多。

▲ Range-Doppler Map
一般而言,特别是在车辆行驶条件下,绝大部分目标已经在range-Doppler map上得到了分离,角度维通常只是输出一个目标,也就是同速同距不同角度的情况对于传统雷达而言比较少,即便有,很多时候也只是输出角度置信度高的一个。
这对4D雷达而言显然是不够的,不然那么多点云上哪来。
当然,4D雷达的距离以及速度分辨率会比传统雷达高一些,进一步增强其range-Doppler层面的目标分离能力。但是同时,同速同距不同角度的情况依然需要得到重视。我们知道,FFT是传统雷达角度维处理的经典算法,经久不衰,但是在角度维多目标问题上显得有些力不从心。

▲ 初始相位与目标角度对FFT算法影响
-
目标角度初始相位 -
多目标角度维FFT谱结构中的交叉项

▲ 超分辨算法处理流程
-
就是单目标,直接输出; -
存在多目标,只不过由于初始相位,瑞利限等原因没有分离;
-
range-Doppler-angle结构下,单快拍是角度维输入; -
必须能够处理相干目标情形(多径场景较普遍); -
算法嵌入式平台运算的实时性; -
低信噪比下,复杂场景下的测角鲁棒性;
-
依赖多快拍; -
低信噪比条件下性能较差; -
超分辨的伪谱与目标能量没有关联性; -
一维搜索,不支持相干目标处理;

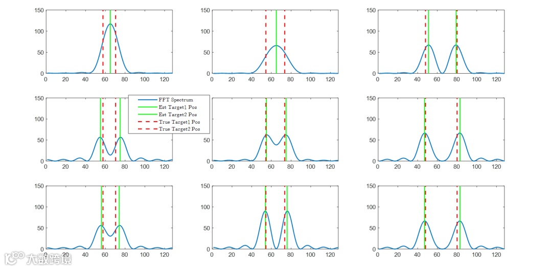
▲ 子空间类算法目标分离效果
如上图所示,MUSIC算法确实具有较好的目标分离能力,但是由于得到的是伪谱,只能获得目标的角度信息,无法获得目标的能量信息,比如上图中第一根绿线的能量比真实目标能量低了十几dB。
我们把眼光投向似然类算法,比如DML算法可以基于单快拍就可以求解角度,并且能够解决相干目标问题(多维度搜索),只不过计算较为复杂,比较耗时。

▲ DML谱(Two Targets)
我们通过优化DML的数学结构,通过合理的近似给出快速DML算法(Fast DML),能够保证算法估计精度的前提下,在嵌入式平台快速执行。如下图,传统CBF已经不能够解析两个目标峰值,因而只能输出一个目标(绿色实线),并且FFT输出角度还存在一定的精度损失;基于快速DML算法能够直接给出两个目标角度(-0.6872,0),并且保持高精度。

▲ CBF与Fast DML效果对比
小结
在测角算法选择上,我们希望算法主要关心的点是,精度,实时性,低信噪比下复杂场景下的测角鲁棒性。上述架构也是抛砖引玉,给出高效的,多目标高精度测角方案永远是值得研究的课题。
[1] Fischer C , F Ruf, Bloecher H L , et al. Evaluation of different super-resolution techniques for automotive applications[C]// Radar Systems (Radar 2012), IET International Conference on. IET, 2013.
[2] Chamseddine M , Rambach J , O Wasenmüller, et al. GhostTarget Detection in 3D Radar Data using Point Cloud based Deep NeuralNetwork[C]// International Conference on Pattern Recognition (ICPR) 2020. 2020.
来源:凡知杂货铺
作者:叶融茶归

每天分享干货资料和最新活动

