酚醛树脂是指由酚类化合物和醛类化合物经缩聚反应而成的树脂。作为三大热固性树脂之一,酚醛树脂发展历史悠久,应用面广,而轮胎制造就是其重要的应用领域之一。
一、酚醛树脂和轮胎的“前世”
早在1872年德国化学家拜耳(A. Baeyer)发现酚和醛在酸存在下可以缩合得到树脂状产物。直到1905年,比利时裔美国科学家巴克兰(Baekeland)经过系统和广泛的研究才获得具有实用价值的酚醛树脂并推广应用,逐步发展成如今普遍使用的高分子材料。酚醛树脂具有耐高温、耐烧蚀、绝缘性好、机械强度高、成本低廉等优势。
最早的轮胎由木头或铁制造,笨重而颠簸。19世纪,随着橡胶的发现和应用,车轮逐渐由木质变成了硬质橡胶,但此时仍是实心的,因此行驶起来不舒适且噪音很大。1888年,英格兰人邓禄普发明了第一条充气轮胎。1895年,米其林兄弟首次将充气轮胎技术应用到汽车上,大大提高了汽车的速度和乘坐舒适性。
轮胎的主要材料是橡胶,但橡胶柔软易变形,无法支撑汽车的重量,因此在轮胎中还需要一种特殊的骨架材料来提高橡胶的强度。1914年,J. W. Aylsworth尝试将橡胶与酚醛树脂结合以提高橡胶材料的性能。1938年,杜邦公司发明了间苯二酚-甲醛-胶乳(RFL)浸渍体系,对人造丝表面浸胶处理后,大大提升了人造丝和橡胶的结合强度,从而取代棉帘布在轮胎中的应用,提高了轮胎的使用寿命,从此酚醛树脂与轮胎建立了不解之缘。
二、酚醛树脂与轮胎的“今生”
1946年,米其林公司发明了子午线轮胎,其帘线呈子午线方向排列,使轮胎强度和耐久性大幅提升,钢丝帘线也开始步入历史舞台,并存在至今。无论骨架材料是人造丝、尼龙、聚酯或亦是钢丝,都离不开酚醛树脂的粘合作用,但粘合技术随轮胎技术的发展也悄然发生着变化。
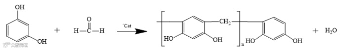
早期的酚醛树脂粘合技术为间苯二酚、甲醛供体和白炭黑,但间苯二酚在160℃左右易升华,在轮胎制造过程中易产生烟气,既导致品质不稳定也污染加工环境,且间苯二酚为单体(分子量110),容易迁移到橡胶表面形成喷霜,影响轮胎的粘接。因此,部分原材料企业将间苯二酚与白炭黑等载体预混合,企图通过减少加工时间来降低间苯二酚的影响,但效果有限,不能彻底解决上述问题。
美国INDSPEC公司将间苯二酚和甲醛预缩合成树脂并大力推广,间苯二酚-甲醛树脂(B-18-S、B-19-S)作为间苯二酚的替代品,大幅降低了产品中间苯二酚单体的含量(10%-20%),有效解决了“冒烟”、“喷霜”等问题,但树脂产品在常温存储下很容易结块,不利于产品的使用。为此,在间苯二酚-甲醛树脂生产中引入苯乙烯等疏水性改性剂(B-20-S),不仅再一次降低了产品中间苯二酚的含量,还大大改善了树脂产品的存储性,得到了轮胎企业的广泛使用。
三、上海盛诺——间苯二酚-甲醛树脂新势力
美国INDSPEC间苯二酚原料采用磺化法生产,工艺污染大,纯度低,受环保压力,目前已关停。浙江龙盛集团开发的水解法生产工艺,更环保,间苯二酚产品纯度更高。上海盛诺新创材料科技有限公司作为间苯二酚生产领先企业浙江龙盛集团的全资子公司,已开发多种间苯二酚-甲醛树脂产品,可满足轮胎客户不同需求。
上海盛诺新创材料科技有限公司间苯二酚-甲醛树脂产品指标如下:
上海盛诺新创材料科技有限公司
END
撰稿人:李佑文
本公众号发布的资讯、评论等内容,旨在为读者提供信息参考。部分内容可能来源于网络或其他媒体,版权归原作者所有。若有侵权,请及时联系我们删除。本公众号对转载内容的真实性、准确性和完整性不承担任何责任。对于因使用本公众号内容而引发的任何争议或损失,本公众号及运营方不承担法律责任。

