原来待测件是一个含有四个通道的接收模块,每个通道只含有一个LNA,然后经过合路器合为一路输出,如图1所示。按理说,逐一测试每一通道的噪声系数还是比较简单的,因为通道中没有变频器件。但是麻烦在于,四路LNA的供电是同一路,如果测试其中一路时,很难做到只给一路而不给其它三路供电。因此,为了方便测试,朋友问能否在四路同时供电的情况下测试每一路的噪声系数。如果这样测试,大体上会带来多大的误差?

图1. 四通道接收模块(只包含LNA)
四路LNA同时供电的情况下,当然还可以使用Y因子法进行测试,可以得到一个测量结果,但是已不再讲究测试精度。尽管如此,如果要对比只给待测通道供电情况下的测试结果,还是可以通过公式推导一番的。
推导过程比较复杂,为了简便起见,作如下假设:(1) 四个通道具有相同的增益G 和噪声因子F ;(2) 室温为290K (T0);(3) 合路器通道隔离度良好,及各级器件之间匹配良好。
1. 首先考虑只给待测通道供电的情况,其它三路不供电,且端接50 Ohm匹配负载。不供电的三路也会在合路器输出端贡献一部分噪声,但是相对于待测通道的输出噪声要小很多,所以下面的推导将其忽略。采用Y因子法测试之前需要做噪声系数校准,这是为了得到频谱仪自身的噪声系数,同时校准过程中的中间测量量将用于待测件增益的计算。
校准时,将噪声源直接连接于频谱仪,利用噪声源打开和关断两种状态下的测量值,便可以提取出频谱仪的噪声系数。
当噪声源分别打开和关闭时,频谱仪在带宽B范围内测得的噪声功率为:
NSA,on=kBTon∙GSA+kBTSA∙GSA
NSA,off=kBToff∙GSA∙FSA=kBT0∙GSA∙FSA
式中,Ton 和Toff 分别为噪声源打开和关闭时的等效噪声温度,FSA 和TSA 分别为频谱仪的噪声因子及等效噪声温度,GSA 为频谱仪的通道增益——频谱仪通道经过校准,故可认为其增益为1。
噪声系数校准完成后,连接待测件进行测试,当噪声源分别打开和关闭时,频谱仪在带宽B范围内测得的噪声功率为:
Nout,on=kBTon∙G∙GSA+kBTe∙G∙GSA+kBTSA∙GSA
Nout,off=kBT0∙G∙F∙GSA+kBTSA∙GSA
根据校准及测试过程中测得的噪声功率,便可以确定待测件的增益,公式如下:

定义Y因子为

在T0 温度下,由Y因子及噪声源超噪比ENR便可以计算出待测件与频谱仪总体的噪声系数:
NFtotal=ENR-10lg(Y-1)
下面考虑另外一种情况,四路LNA同时供电,测试结果将是怎样的。
2. 如果四路同时供电,测试结果将会怎么样呢?不测试的三路端接50 Ohm匹配负载,由于在正常状态下,其在合路器输出端贡献的噪声不能再忽略。
噪声系数的校准与前面第一种情况完全相同,此处不再赘述。校准完成后,连接待测件进行测试。当噪声源分别打开和关闭时,频谱仪在带宽B范围内测得的噪声功率为:
Nout1,on=kBTon∙G∙GSA+kBTe∙G∙GSA+kBTSA∙GSA+3kBT0∙G∙F∙GSA
Nout1,off=kBTSA∙GSA+4kBT0∙G∙F∙GSA
在此过程中计算得到的待测件的增益为

经过验证,G1 = G。
定义Y因子为

在T0 温度下,由Y因子及噪声源超噪比ENR便可以计算出待测件与频谱仪总体的噪声系数:
NFtotal1=ENR-10lg(Y1-1)
3. 对比分析上述两种情况,评估测试结果差异大小。

如果GF >> FSA ,则上式可以简化为

这意味着第二种情况测得的总噪声系数将比第一种情况高约6dB。
总噪声系数是指待测件与频谱仪总体的噪声系数,如果将频谱仪自身的噪声系数修正掉,那么两种情况测得的待测件的噪声系数有多少差异呢?
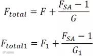
对于两级级联系统,待测件与频谱仪级联后总体的噪声因子为:

因NFtotal1 比NFtotal 高约6dB,故满足如下关系

因G1 = G ,上式进一步化简得
F1=4F+(3∙(FSA-1))/G

上述公式推导基于假设GF >> FSA ,通常LNA的噪声系数在1.5dB~3dB之间,对应的噪声因子为位于1.4~2之间,这意味着如果要满足该假设条件,则要求LNA的增益G >> FSA 。
这种情况下,可以作如下估计
F1≈4F , NF1≈NF+6dB
小结
当测试其中一个通道的噪声系数时,如果其它三个通道不断电,则当待测通道的增益G 远远大于频谱仪自身噪声系数FSA 时,测得的噪声系数结果比单独测试一个通道(其它三个通道断电)的结果高约6dB!
作者:Knight

每天分享干货资料和最新活动
射频微波芯片设计专栏
RF测试原创笔记
微波仿真原创笔记
学个Antenna
5G及无线技术专栏
射频器件测试测量
天线测试那些事


