作者简介
陈廷尉
李阳
韩凯峰
李晓阳
李航
朱光旭
论文引用格式:
陈廷尉, 李阳, 韩凯峰, 等. 基于无线信道状态信息的跌倒检测[J]. 信息通信技术与政策, 2023, 49(9): 67-73.
基于无线信道状态信息的跌倒检测
陈廷尉1 李阳2 韩凯峰2 李晓阳1 李航1 朱光旭1
(1.深圳市大数据研究院,深圳 518055;2.中国信息通信研究院移动通信创新中心,北京 100191)
摘要:随着中国正式迈入老龄化社会,老年人跌倒引发的问题日益引起关注。针对这一问题,无线信号(如Wi-Fi)感知被用于对跌倒进行及时检测与警报。无线信号感知技术依赖电磁波的反射特性,发射信号经过室内环境中各物体反射后产生不同的传播路径,叠加在一起到达接收端。由于接收信号携带了物体方位、活动状态等信息,通过将接收信号与实际物体的状态建立联系,可实现对物体进行定位与行动识别。对基于无线信道状态信息的跌倒检测进行研究,并在实验环境中验证其可行性。
关键词:跌倒检测;无线信号感知;信道状态信息
0 引言
随着中国正式迈入老龄化社会,近年全社会的养老压力逐年增大。经统计,跌倒已经成为引发老年人受伤甚至死亡的重要诱因之一。在中国,老人不慎摔倒很多是在家中发生的,浴室、厕所及卧室是风险较高的区域,但这几个区域也是家庭监控的难点。其原因主要包括:鉴于浴室、厕所及卧室的隐私敏感性,出于隐私保护,在公共场合常见的视频监控方式无法适用;各种跌倒检测的传感器都需要将检测结果通过网络回报给监护人,但普通家庭的浴室、厕所一般无线信号覆盖都较差,容易因为网络丢包产生错报、漏报。
目前常见的室内人员跌倒检测技术包括计算机视觉、可穿戴传感器以及专用的雷达硬件。尽管这些技术具备良好的应用价值,但也存在一定的缺陷。例如,计算机视觉容易涉及用户隐私,并且通常只能在光照条件良好的情况下才能工作;可穿戴传感器需要佩戴特定的设备,对于老年人而言使用十分不便;大规模部署特定的雷达硬件需要较高的成本。
相比之下,基于非传感器的感知方法具备一定的优势。例如,Wi-Fi感知不受上述条件的限制,为跌倒检测提供了一个新的解决方案。该方案的优势包括:采集的无线信号信息不会干扰用户的隐私,在无光照的条件下也可正常工作;基于Wi-Fi的感知不需要用户佩戴特定的设备;几乎家家户户部署了Wi-Fi设备,无需部署新的硬件设备。
Wi-Fi感知的实现基于电磁波的反射特性。根据电磁波的传播特性,在室内环境中活动的人体等都会对信号产生反射而使电磁波产生不同的传播路径。这些路径与直射路径一起形成多径在空间中传播,并最终叠加在一起形成了接收端收到的Wi-Fi信号。这种叠加的信号携带了物体方位、活动状态等信息,通过算法将接收到的信号与实际物体的状态建立联系,可以对物体进行定位和行动识别。
近年来,基于无线信道状态信息(Channel State Information,CSI)的跌倒检测已成为主流的方法。然而,如何从Wi-Fi CSI中提取特征,以及如何将这些提取的特征应用于跌倒检测,在现有文献中尚未得到全面解答。因此,本文将重点关注这个未充分探索的领域,搭建实际实验环境进行数据采集,并使用机器学习的方法进行验证。
1 研究现状
1.1 Wi-Fi感知现状
Wi-Fi将成为一种在室内无处不在的信号。最近,基于Wi-Fi CSI的跌倒检测方法由于其非接触式和能够穿墙的特性引起了广泛关注。这些方法利用Wi-Fi信号来检测跌倒,克服了对专用可穿戴传感器或相机的依赖。
在早期的尝试中,WiFall利用CSI来检测跌倒,无需硬件改装、额外的环境设置或可穿戴设备[1]。其它系统,如Anti-Fall,也在检测率和误报率方面显示出较好的性能[2]。然而,当从不同环境中训练和测试数据时,传统的Wi-Fi CSI跌倒检测系统的性能会显著下降,因此,Nakamura[3]等使用卷积神经网络的方法对Wi-Fi CSI频谱图进行检测,对跨环境检测进行探索。DeFall技术利用速度和加速度在时域上的变化产生的不同模式来检测跌倒,也可以有效提升准确率并产生跨环境检测的泛化能力[4]。基于模型驱动的AFall系统也展示了Wi-Fi CSI相位信息在跌倒检测应用场景中的潜力[5]。
由于跌倒检测的数据采集困难,且通过Wi-Fi设备提取CSI的难度大,因此目前针对跌倒检测相关的开源数据集较少[6-8],远不能满足对基于人工智能(Artificial Intelligence,AI)的跨环境、跨人员跌倒检测模型的训练需求。
1.2 Wi-Fi感知在边缘AI中的应用研究
作为一种普遍存在的边缘设备,Wi-Fi设备在AI和无线通信的交叉领域,特别是在联邦边缘学习(Federated Edge Learning,FEEL)和集成感知、通信和计算(Integrated Sensing,Communication,and Computation,ISCC)方面扮演关键角色。对于FEEL,Liu[9-10]等提出了优化环境智能应用中FEEL性能的方法,利用联合感知、计算、通信资源分配方案和分布式集成感知和通信的垂直联邦边缘学习系统,协作识别物体或人体运动。该方法能够在设备之间共享资源和信息,同时保护数据隐私。基于Wi-Fi CSI的跌倒检测意味着可以在保护个体数据隐私的同时,通过设备协作和资源共享来提高检测精度和系统性能。对于ISCC,Xing[11]等和Zhu[12]等提供了关于实现ISCC技术的原则和设计的深入理解,为基于Wi-Fi CSI的跌倒检测提供了理论指导,揭示了设计边缘AI时面临的挑战,对于Wi-Fi感知和基于Wi-Fi CSI的跌倒检测等应用提供了理论支持,例如如何设计和优化ISCC,以满足诸如低时延、高可靠性等需求。
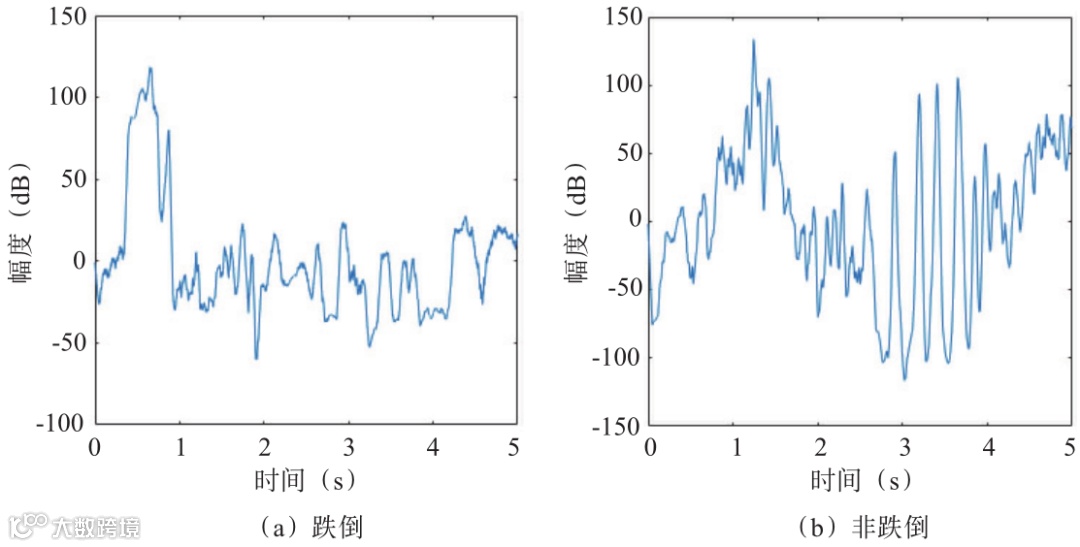
2 Wi-Fi CSI感知原理
本文采用Wi-Fi CSI进行跌倒检测,如图1所示,其描述了室内环境中Wi-Fi发射机和接收机之间的典型信号传播情况。
本文刊于《信息通信技术与政策》2023年 第9期
主办:中国信息通信研究院
《信息通信技术与政策》是工业和信息化部主管、中国信息通信研究院主办的专业学术期刊。本刊定位于“信息通信技术前沿的风向标,信息社会政策探究的思想库”,聚焦信息通信领域技术趋势、公共政策、国家/产业/企业战略,发布前沿研究成果、焦点问题分析、热点政策解读等,推动5G、工业互联网、数字经济、人工智能、区块链、大数据、云计算等技术产业的创新与发展,引导国家技术战略选择与产业政策制定,搭建产、学、研、用的高端学术交流平台。
为进一步提高期刊信息化建设水平,为广大学者提供更优质的服务,我刊官方网站已正式投入运行,欢迎投稿!
推荐阅读
你“在看”我吗?

