作者简介
刘剑钊
葛晓虎
郑艳烈
罗文毅
论文引用格式:
刘剑钊, 葛晓虎, 郑艳烈, 等. FTTR场景下空间复用与速率联合优化[J]. 信息通信技术与政策, 2023, 49(10): 16-22.
FTTR场景下空间复用与速率联合优化
刘剑钊1 葛晓虎1 郑艳烈2 罗文毅2
(1.华中科技大学电子信息与通信学院,武汉 430074;2.烽火通信科技股份有限公司,武汉 430000)
摘要:随着网络技术的飞速发展,用户对家庭场景内网络体验的要求日益增加。FTTR能够在一定程度上解决无线网络连接不稳定的问题。在FTTR架构基础上,介绍了集中式光无线网接入架构,探讨了下一代Wi-Fi协同空间复用技术与速率控制的主要原理,并对当前面临的挑战以及未来的研究方向进行了分析和展望。
关键词:FTTR;集中式光无线网接入架构;协同空间复用
0 引言
随着网络技术的飞速发展,视频直播、远程办公、扩展现实、全息互动等互联网应用不断涌现,在给人们带来丰富多彩的数字化生活的同时,也对家庭网络提出了更高的要求。目前,家庭内使用的终端大多是通过Wi-Fi接入互联网的手机、平板电脑、笔记本等移动设备,因此Wi-Fi的网络质量在很大程度上决定了用户体验[1]。由于发射功率的限制和障碍物对信号的衰减,单个Wi-Fi接入点(Access Point,AP)不足以覆盖大户型住房的所有房间。当终端距离AP较远或信号连续穿墙时,容易出现无线连接不稳定、用户体验较差的情况。为了解决这一问题,现已提出了多种AP组网方案,如网线组网、电力组网和无线组网等[2]。欧洲电信标准化协会第五代固定网络行业规范工作组提出了基于光纤的家庭网络解决方案——光纤到房间(Fiber To The Room,FTTR)[3]。
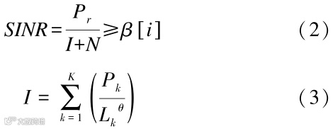
FTTR是一种基于光纤通信的网络架构,通过将光纤延伸到用户房间内的无线接入点,提供高速、稳定的网络连接[4]。虽然FTTR组网为主、从设备提供了稳定的光纤链路,但在设备端的无线链路也会存在和传统组网方式类似的问题,即在每个房间内部署AP会导致网络环境更加密集,增加设备间的竞争和干扰。因此,需要通过光与Wi-Fi的协同机制来减少AP间的干扰,提升网络性能。本文介绍了一种新颖的集中式无线光接入网架构(Centralized Wireless-optical Access Network,C-WAN),并结合下一代Wi-Fi多AP协同技术对FTTR架构中协同空间复用技术以及速率控制算法进行了研究。
1 FTTR技术及架构
1.1 FTTR基本架构
FTTR技术方案通过光纤进行家庭组网,由主网关、光路由、光网络、网络管理平台4部分组成[5]。在关键位置部署FTTR主网关,以主网关为核心,上行连接光线路终端,下行通过光纤、分光器连接多个从光路由,光路由支持千兆Wi-Fi和以太网口。网络管理平台负责采集家庭网络信息并汇总整理上报,从而全面实现对家庭千兆网络的运维管理。FTTR基本架构如图1所示。
本文刊于《信息通信技术与政策》2023年 第10期
主办:中国信息通信研究院
《信息通信技术与政策》是工业和信息化部主管、中国信息通信研究院主办的专业学术期刊。本刊定位于“信息通信技术前沿的风向标,信息社会政策探究的思想库”,聚焦信息通信领域技术趋势、公共政策、国家/产业/企业战略,发布前沿研究成果、焦点问题分析、热点政策解读等,推动5G、工业互联网、数字经济、人工智能、区块链、大数据、云计算等技术产业的创新与发展,引导国家技术战略选择与产业政策制定,搭建产、学、研、用的高端学术交流平台。
为进一步提高期刊信息化建设水平,为广大学者提供更优质的服务,我刊官方网站已正式投入运行,欢迎投稿!
推荐阅读
你“在看”我吗?

