光栅是由一系列等距平行刻线组成的光学元件,它是利用光的衍射和干涉原理进行分光的一种色散元件,被广泛应用到生化仪器、光谱仪器、分光光度计等相关产品上或相关领域中。
图1 透射光栅
图2 平面刻线衍射光栅
按照工作表面的形状,可分为平面光栅和凹面光栅。凹面光栅兼具分光和聚焦功能,需沿着光谱面弯曲的方向拼接多个探测器才能完成全光谱的探测,且会伴随着较大的像差,造成结果的测量误差。因此,平面光栅更常用。
按照工作方式不同,可分为透射光栅和反射光栅两种。其中,透射光栅对光的利用率不高,光能损失较大。
按照制作工艺不同,可分为刻划光栅和全息光栅。
刻划光栅利用光栅刻划机,用钻石刀头对材料进行加工,刻线密度调节灵活,但所能达到的刻线密度有限,还可能存在周期性的刻划失误,产生鬼线效应,干扰光栅的分光。
全息光栅是利用激光器产生两束相干光,在涂有光敏材料涂层的基板上产生一系列均匀的干涉条纹,使光敏物质被感光。然后用特种溶剂溶蚀掉被感光部分,即在蚀层上获得干涉条纹的全息像。离子刻蚀技术还能够利用离子束轰击刻槽,加工刻槽的形状使之成为闪耀光栅,增强衍射效率。
光栅方程
光束经过准直后成为平行光,以一定的角度照射在光栅上。不同波长的光以不同的角度出射,决定各级主极大位置的方程式称为光栅方程。最基本的光栅方程为:
d(sini ± sinθ)=mλ m=0,±1,±2,...
方程表示,根据mλ 值平行光束以入射角 i 斜入射到缝间距为d的光栅上,将光以离散的角度θ偏转,其中m是主极大级次。入射角i 和θ 衍射角分别是入射光线和衍射光线与光栅法线之间的夹角,在考察与入射光同一侧的衍射光谱时,上式取正号;在考察与入射光异侧的衍射光谱时,上式取负号。可以看出,对于给定的级次m,不同波长的光将以不同的角度从光栅出射。

图3 透射光栅与反射光栅衍射原理
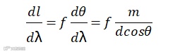
色散
光栅的色散用角色散和线色散表示。相差单位波长的两条谱线通过光栅分开的角度为角色散:

光栅产品中也用倒角色散即角色散的倒数(单位nm/mrad)来表示色散能力。光栅的线色散是聚焦物镜焦面上相差单位波长的两条谱线分开的距离。设物镜的焦距是f,则线色散为:

衍射效率
光栅的衍射效率通常有两种定义,即相对衍射效率与绝对衍射效率。
相对衍射效率,定义为在给定波长和衍射级次下,探测器接收到的光栅的衍射光通量与一块同孔径的标准反射镜的反射光通量之比;绝对效率,是指给定光谱级次中单色衍射光通量与入射光通量之比;光栅衍射效率曲线指的是光栅衍射效率对波长的函数关系。



图4 典型的光栅衍射效率曲线图
闪耀角
闪耀光栅,是一种特殊形式的反射式或透射式衍射光栅,它的刻槽面与光栅面不平行,两者之间有一夹角γ,称为闪耀角。

图5 闪耀光栅衍射原理
闪耀波长
闪耀光栅能够在特定衍射级次产生最大光栅效率,即大部分光功率将会在设计的衍射级次,通常为1级,同时尽量减少其它级次(尤其是零级)的功率。由于这种设计特性,闪耀光栅会在某一特定波长下工作,这种波长也称为闪耀波长。
在Littrow结构下,即入射光垂直于光栅刻槽面(光谱仪中称之为自准直式入射),入射光的角度i和衍射光的角度θ 相同,i=θ=γ,这时,1级光谱闪耀的光栅其闪耀波长λB为:λB=2dsinγ。
摘编自:联合光科公众号
扫码关注我们
关注后只要加上星标,就能固定找到我们啦!
↓↓↓

请联系oepn@siom.ac.cn
商务合作,请联系
季先生 18018304797



