不论是供应端晶体的生长优化还是应用端设备中的设计使用,都离不开对光学晶体最底层微观结构以及外显的理化性能的理解和掌握。那这些光学晶体都具有哪些结构特征呢?我们如何根据这些特征来更好的使用它们呢?
一、基本概念
晶体以其内部原子、离子、分子在空间作三维周期性的规则排列为其最基本的结构特征,如图1为LBO 晶体的晶胞结构。晶体最小构造单位是晶胞,晶胞三条棱的方向称为晶轴,通常为:a(X)、b(Y)、c(Z) 。对于三方和六方晶系,还增加了一个水平轴,三条水平轴互成120° 。

图1 LBO的晶胞结构
根据光学性质的不同,晶体可以分为光性匀质体(各向同性)和光性异质体(各向异性)两大类。各向同性晶体的晶胞结构为立方结构,各向异性的晶体晶胞结构分别有三方、四方、六方、斜方、单斜以及三斜六种。其中三方、四方和六方晶胞结构为单轴晶,介电常数特征εx=εy≠εz,a、b轴方向具有相同的物理性质。斜方、单斜和三斜晶系为双轴晶,介电常数特征εx≠εy≠εz。图2为基本的晶体结构分类框架。

图2 晶体的光学分类
福晶科技的激光晶体Yb:CaF2、Er:Cr:YSGG,磁光晶体TGG属于立方晶系;非线性晶体β-BBO、电光晶体LiNbO3、 激光晶体Cr:LiSAF属于三方晶系;非线性晶体CLBO、激光晶体Yb:CALGO和双折射晶体YVO4属于四方晶系;非线性晶体LBO和KTP属于斜方晶系;非线性晶体BIBO属于单斜晶系等。为什么要对光学晶体做复杂的结构分类呢?因为光在不同结构晶体里的传播方向和偏振方向是我们所关注和使用的。
二、重要的光率体
光在各项同性的晶体中传播比较简单,传播速度不随光波的传播和振动方向的改变而变化。本文我们重点讨论各向异性的情况,引入光率体这个概念(图形)来形象的表示光在某个振动方向上的折射率情况。
如图3,各项异性的晶体可以分为单轴晶和双轴晶。单轴晶光率体为以Ne(平行c轴,大小为非常光折射率)轴为旋转轴、No(垂直c轴,大小为常光折射率)为半径组成的旋转椭球体,并根据Ne和No相对大小做正负光性之分,见图4(a)和(b)。双轴晶光率体为三轴不等椭球体,分别用Ng、Nm、Np分别表示最大、中等和最小的折射率,垂直于光轴的光率体切面为半径为Nm的圆,见图4(c)和(d)。

图3 单轴晶/双轴晶的特点

(a)单轴正晶

(b)单轴负晶

(c)双轴正晶

(d)双轴负晶
光率体在光学晶体的设计和使用中必不可少,如非线性晶体的相位匹配角、非线性系数的计算等方面。下面就分别以β-BBO晶体在非线性光学频率变换和电光调Q中的应用为例,来具体说说光学晶体结构特别是光率体的作用。
三、光率体的应用
β-BBO为负单轴三方晶系,毛坯轴向和折射率椭球见图5。
图6中画出BBO晶体中1064nm基频光和532nm倍频光的两种不同偏振态折射率面间的关系。球面为o光折射率面,椭球面为e光折射率面,z为光轴。

图5BBO毛坯和折射率椭球

图6折射率椭球角线
对于非线性晶体,因为各向异性,o光和e光具有不同的折射率,具有现双折射现象。e光折射率与o光的折射率随温度的变化快慢不同,这就使得参与相互作用的光波在介质中传播存在具有相同速度的可能,从而实现有效的频率变化。
对于单轴晶体倍频过程,实现相位匹配的条件方法之一,是寻找基频光与倍频光的交点位置(表1)。我们从图6中可以看到基频光no(1064 nm)与倍频光ne(532 nm)存在一个交点,即当光沿着与光轴z的夹角为θm的方向传播时,能实现相位匹配。根据计算,此处BBO相位匹配角为θ=22.8°,φ=0°[1]。晶体加工中的定向工序可利用X射线定向仪设备确定β-BBO的1064nm倍频的相位匹配角度面(θ=22.8°,φ=0°),随后进行后续的切磨抛镀等相应工序。

表1 单轴晶体的相位匹配条件
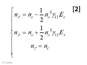
β-BBO晶体还有一个重要的应用是利用Z-cut(θ=0°)方向的电光效应做电光调Q使用。如图7,入射光为沿着Y轴方向偏振的线偏光,当对β-BBO晶体Y轴方向施加电压时,折射率椭球发生变化,近似于单轴晶变为双轴晶,同时X轴、Y轴根据电压不同发生不同角度的偏转。施压后,X′轴和Y′轴的折射率变化如下:


图7 β-BBO电光调Q原理
当Y轴方向施加λ/4电压时,沿Y轴方向偏振的线偏光入射晶体后分解为沿X′轴和Y′轴的两个偏振分量,发生双折射,即o光与e光产生π/2的相位差,出射光为圆偏光;当Y轴方向施加λ/2电压时,o 光与e光则产生π的相位差,出射光为线偏光,偏振态较入射光旋转了90°。故电光晶体此时相当于一个相位延迟量可变的光学波片[2]。
参考文献:
[1] 姚建铨 非线性光学频率变换及激光调谐技术.科学出版社,1995.
[2] 许自一 高重复频率电光调Q激光器的研究[M].华中科技大学,2011.
转载自福晶科技
END
特色栏目
免责
声明
本文注明来源为其他媒体或网站的文/图等稿件均为转载,如涉及版权等问题,请作者在20个工作日之内联系我们,我们将协调给予处理。最终解释权归光电汇所有。
请联系oepn@siom.ac.cn
商务合作,请联系
季先生 18018304797
觉得有用,请点这里↓↓↓



