1、简介
相比透射聚焦而言,反射聚焦具有像差小(焦斑质量好)、非线性效应小(对脉宽及频谱影响小)等优点,通常用于高功率密度、超短超强激光物理实验中,其中典型元件是离轴抛物面镜。相比透镜而言,离轴抛物面镜调节难度大,主要原因是没有旋转对称轴,子午曲率和弧矢曲率不同。轮胎镜(又称超环面镜)也是反射式聚焦镜,对于极紫外(121 nm-10 nm)及更短波长的光(例如高次谐波), 需要轮胎镜以掠入射方式收集光,调节原理与抛物面镜相同。
图1 (a) 安装在调整架上的抛物面镜,抛物面镜需要6自由度调节,图示调整架只能提供2自由度调节。(b) 实验中用到的6自由度调节架的示意图,银灰色部分为XYZ调节,绿色部分为∆x∆y∆Z调节。
2、成像原理
角、面定义
子午面:轴外物点的主光线与光学系统主轴所构成的平面。弧矢面与子午面垂直,如图2。弧矢曲率、子午曲率为光学元件在对应平面内的曲率。通常子午曲率大于弧矢曲率,二者的关系决定了元件的最佳工作角度。对于常在掠入射情形下使用的轮胎镜而言,子午曲率远大于弧矢曲率。
入射角、离轴角、掠入射角都是子午面内定义的量:
1) 入射角:入射光线与入射表面法线的夹角。
2) 离轴角:入射光线与反射光线的夹角。
3) 掠入射角:入射光线与入射表面的夹角(90°-入射角)。
曲率与焦距
根据几何光学,p(mm)和q(mm)分别为物象距,满足
。即
图2 子午面和弧矢面的关系示意图
图3 子午平面下的位置关系示意
实验中,使用抛物面镜聚焦平行入射光以获得相对论光强,即p无穷大。子午曲率与焦距的关系为:
弧矢曲率与焦距的关系为:
其中θ为掠入射角,若换为入射角则正弦函数改为相应的余弦函数。
联立以上两式即可。从消像差的角度来说,弧矢曲率、子午曲率、入射角有唯一关系【此条件下横纵方向上的像差最小】。即按弧矢曲率、子午曲率可确定唯一入射角,即对应于光学元件的最佳工作角(或离轴角)。
反过来说,对于一个光学元件而言,弧矢曲率、子午曲率都是固定值,可以改变入射角,所以子午面焦距(水平方向):
弧矢面焦距(竖直方向):
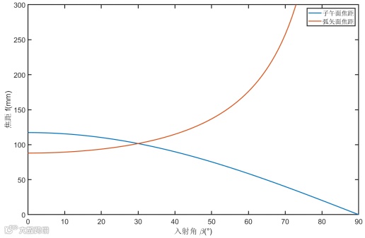
其中β为入射角。两个方向的焦距随入射角有如下变化(以f=101.6 mm,离轴角=60°的抛物面镜为例, ρ=176.0 mm,R = 234.6 mm):
图4 子午和弧矢面焦距与入射角度的关系,该抛物面镜设计工作角度为30°入射
可以看到,改变入射角时,两个方向的焦距有相反的变化,且在最佳工作角处相同,此时汇聚效果最好,焦斑小且圆。偏离最佳情况时,光斑变形,表现为变椭圆或有慧差。因此可以通过观察光束在焦前焦后两个方向的汇聚情况判断此时入射角是否偏大(偏小)。实际分多种情形(图 5)。
图5 反射镜调节
图6 搭建实验光路1:抛物面镜调节
3、调节步骤与示例
抛物面镜调节
用CCD从反射方向直接观察:CCD单像素13.5 μm,分辨率不够。利用单透镜成像原理,在滑轨上固定CCD与物镜(即放大倍率也固定了),滑轨底部装有微调平移台(扫描观察焦前焦后),物镜底部装有微调平移台,可以垂直于滑轨方向移动,用于标定放大倍率。
图7 搭建实验光路2:用于分析焦斑的物镜-CCD系统
物镜-CCD系统安装步骤:
抛物面镜前光路高度准直,Z0 mm光高,光路已事先在平台板上画好,使用立尺粗略准直高度;
粗调节抛物面镜XY方向,使光束近似入射抛物面镜中心;
粗调节抛物面镜轴线及俯仰方向,使反射光高度与入射光高相同;
粗调节抛物面镜扭摆方向,使反射光与入射光夹角为60度附近(参考平台上画好的线);
摆放滑轨,移动滑轨上的CCD(或固定参照),以保证滑动方向与反射光平行(即反射光始终入射CCD);
加装10X物镜,物镜位于光斑焦点后约6 mm,将CCD放置足够靠后,以保证较大的放大倍率;
调节滑轨底部平移台,移动滑轨找到焦点;
调节抛物面镜XY、俯仰、扭摆方向,多次优化后,扫描焦前焦后,光斑以圆的形式收缩、扩张(抛物面镜没调好时以椭圆收缩扩张),参考前文表格;
标定放大率:沿垂直于反射光的方向移动物镜,微调旋钮转一圈(250 μm),软件显示光斑在CCD上移动(∆x=3816 μm),求得放大倍率15.264倍。
另外,应当注意焦点光强是否会损坏CCD的情况,考虑到光路中不能添加小衰减片,因此考虑在抛物面镜后放置白板,物镜观察白板反射光:
图8 搭建实验光路3:最终光路
图9 最终测量的焦斑直径为7 μm,经过计算,焦点处的光斑达到了实验所需的相对论光强,注意,CCD图像显示光斑稍有慧差
实验中光束可以聚焦到直径7 μm,满足实验需求,开始安装靶及后续装置。
轮胎镜调节
轮胎镜成像效果略差于抛物面镜,适用于掠入射收集谐波的情形,调节原理相同,改用He-Ne激光器辅助调节。
图10 He-Ne激光器反射光聚焦至狭缝上的效果,慧差较大
4、总结
本文涉及的抛物面镜及轮胎镜安装调试方法还可以应用于其他种类的激光装置中,如长脉宽纳秒激光器。同时由于CCD相机不仅对可见光感光,也可以对红外及紫外等不可见波段的光感光,因此该方案优于人眼观察调节。如果需要聚焦至接近衍射极限的极小光斑(或者CCD分辨率不够)的情形,通过引入放大成像系统解决。
参考文献
[1] 徐冰,离轴抛物面聚焦镜的安装调试方法[P].CN1687815.
[2] 周兴义,宽带多传感器光电仪器光轴检测系统[P].CN101008563.
[3] 任志君,提高大光斑激光系统焦斑功率密度的装置[P].CN101694544.
[4] 任志君,基于高分辨科学CCD相机的离轴抛物面镜调节方法[P].CN103487916.
[5] Tondello, G. (1979). ”The Use of a Toroidal Mirror as a Focusing Element for a Stigmatic Grazing Incidence Spectrometer.” Optica Acta: International Journal of Optics 26(3): 357-371.
本公众号长期征稿
欢迎大家踊跃来稿
为了尽可能协助科研人员和企业扩大自我宣传,本微信号接受科研和产业界人士投稿,技术类、市场类、企业类、产品类等皆可。经筛选后,根据稿件质量可发布于本微信公众号头条及次条位置宣传。若被采用为头条的技术类、市场分析类稿件,视阅读量可给予稿费。
投稿通道:邮件标题统一命名为“投稿+文章标题”的格式文章用word附件或者文章链接,发送至邮箱sueuel@oeshow.net;或者电话/微信联系13296607101,备注“投稿”即可。
END
特色栏目
免责
声明
本文注明来源为其他媒体或网站的文/图等稿件均为转载,如涉及版权等问题,请作者在20个工作日之内联系我们,我们将协调给予处理。最终解释权归光电汇所有。
本文版权所有,公众号如需转载
请联系oepn@siom.ac.cn
商务合作,请联系
季先生 18018304797
觉得有用,请点这里↓↓↓





