搜索
首页
大数快讯
大数活动
服务超市
文章专题
出海平台
流量密码
出海蓝图
产业赛道
物流仓储
跨境支付
选品策略
实操手册
报告
跨企查
百科
导航
知识体系
工具箱
更多
找货源
跨境招聘
DeepSeek
首页
>
如何测薄膜的方块电阻?
>
如何测薄膜的方块电阻?
Tom聊芯片智造
2024-02-22
56
导读:最近微信修改了推送规则,不加【星标★】的公众号会被折叠起来不推送。
最近微信修改了推送规则,不加
【星标★】
的公众号会被折叠起来不推送。
可以给本号加个
【星标★】
不迷路
半导体制造中的薄膜都具有电阻,薄膜电阻对器件的性能有着直接的影响。
我们通常不去测量薄膜的绝对电阻,而是用方块电阻来表征。
什么是方块电阻与体电阻率?
体电阻率,也称为体积电阻率,是一个材料固有的性质,表征了该材料对电流流动的阻碍程度。常用符号ρ 表示,单位为Ω。在初中物理中已接触过。
方块电阻,又名方阻,英文名称sheet resistance,指的是单位面积的薄膜的电阻值。常用符号Rs 或ρs来表示,单位为Ω/sq或Ω/□
二者的关系是:方阻=体电阻率/薄膜厚度 ,即Rs =ρ/t
为什么要测方块电阻?
测量薄膜的绝对电阻需要精确知道薄膜的几何尺寸(长度、宽度、厚度),变量很多,对于非常薄或不规则形状的薄膜,十分复杂。而方阻仅与薄膜的厚度有关,可以快速地被直接测试出来,无需复杂的尺寸计算。
哪些薄膜需要测方块电阻?
一般导电薄膜,半导体薄膜需要测方阻,而绝缘薄膜则不需要测。
在半导体掺杂中,也会测硅的方阻。
KLA方阻测量仪
测量方块电阻的方法?
业内一般采用四探针法。四探针法可测量方阻电阻范围从1E-3到1E+9Ω/sq之间的方阻。四探针法可以避免由于探头和样品之间的接触电阻而产生的测量误差。
测量方法:
1) 将四个线性排列的
探头设置在试样表面。
2) 在两个外探针之间施加恒定电流。
3) 通过测量两个内部探针之间
的电位差来确定电阻
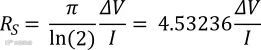
R S : 方块电阻
ΔV:内部探针之间测得的电压变化
I : 外探针之间施加的电流
欢迎加入我的知识社区,答疑解惑,上千个半导体行业资料共享,内容比文章丰富很多很多,适合快速提升个人能力,介绍如下:
《欢迎加入作者的芯片知识社区!
》
【声明】内容源于网络
0
0
Tom聊芯片智造
免费进半导体交流群 ,➕Tom微:wafer58
内容
314
粉丝
0
关注
在线咨询
Tom聊芯片智造
免费进半导体交流群 ,➕Tom微:wafer58
总阅读
1.2k
粉丝
0
内容
314