搜索和推荐场景的联动行为,千人千面的用户兴趣;

搜索步骤
-
对用户输入搜索词的解读
-
根据搜索词对内容筛选
-
对筛选后的结果集排序并展现,并且根据用户反馈进入新的搜索服务
搜索前行为记录
-
条件:对用户当前需求没有显式信息
-
定位:以推荐为主
-
典型产品:搜索底纹、搜索发现 、历史搜索词、热门搜索词
-
搜索物料:历史搜索词、短期、长期商品交互(点击、加购、收藏、购买)、其他人的搜索及站内行为

搜索中行为记录
-
条件:需求部分已知
-
定位:辅助查询输入
-
典型产品:查询智能补全(SUG) /搜索联想
-
搜索物料:短期、长期商品交互(点击、加购、收藏、购买)、其他人的搜索及站内行为

搜索后的行为结果
-
条件: 用户完成搜索, 已获取结果列表 ,排序及展示结果页
-
定位: 辅助用户修正结果或重新查询
-
典型产品: 相关搜索、筛选、泛词引导/锦囊、搜索纠错,搜索确认、搜索排序
-
搜索物料:搜索词下类目重要属性,短期、长期商品交互(点击、加购、收藏、购买)、其他人的搜索及站内行为

动态流通语料库
-
语料:从单语种到多语种
-
数量:从百万级到千万级再到亿级和万亿级
-
加工:从词法级到句法级再到语义和语用级
-
文本:从抽样到全文
-
特点:动态性,不确定一个固定的库容量(例如:把库容量目标确定为数百万字,上千万字,数千万字,数亿字等)
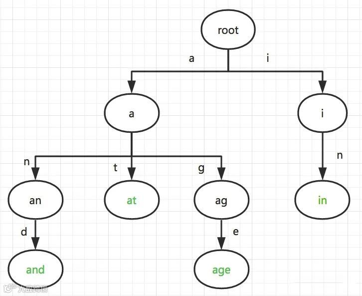
搜索的精准匹配推荐与记录
搜索词自动索引推荐产生联想效应

-
可选择对接第三个已有的语料库开放平台(可减少开发时长)
-
自主构建语料库体系

复杂模型版1




