近期,香港大学博士生洪海桥与团队首次提出一种基于忆阻器的自适应模数转换器(ADC),从电路-架构层面突破存算一体(CIM)AI芯片的核心瓶颈。
该ADC具备自适应特性,能根据信号分布动态调整量化刻度,实现更高精度、更快速度和更低功耗的信号转换。相较于传统设计,在特定场景下可显著降低能耗。集成该ADC后,存算一体系统的总能耗和面积开销分别减少57.2%和30.7%。
图丨洪海桥(来源:洪海桥)
补足边缘计算能效短板
该技术并非替代GPU,而是面向GPU难以覆盖的高能效边缘场景。其为边缘端模型部署提供极致能效的硬件基础,使神经网络在电池供电设备上也能高效运行,支持检测、识别、分析与预测等任务,同时避免大量原始数据上传云端。
得益于与存算一体架构的原生融合,该技术有望在智能穿戴、移动终端和自动驾驶等对功耗敏感的领域发挥关键作用,在执行心率异常分析、计算摄影、障碍物识别等实时任务的同时,显著延长设备续航。
破解ADC功耗与面积瓶颈
随着AI模型规模扩大,冯·诺依曼架构的“存储墙”和“功耗墙”问题日益突出。存算一体技术通过在存储单元内直接完成向量-矩阵乘法,有效缓解数据搬运压力,成为突破瓶颈的关键路径。
然而,模拟计算结果需经ADC转换为数字信号,才能与数字电路协同工作。传统ADC外围电路面积大、功耗高,严重削弱了存算一体的能效优势,已成为制约其发展的关键瓶颈之一。
图丨神经网络计算中存算一体系统的挑战(来源:Nature Communications)
研究团队创新性地利用忆阻器本身构建ADC,实现硬件原生自适应设计:
- 简化结构:摒弃传统CMOS ADC所需的庞大电容阵列和复杂数字控制逻辑,仅通过电压脉冲调节忆阻器阻值即可配置量化边界。
- 极致能效:无需运算放大器和多级比较器,大幅削减硬件开销,在保证精度的同时显著降低面积与功耗。
图丨基于忆阻器的模数转换器设计(来源:Nature Communications)
洪海桥表示:“我们的ADC由多个量化单元(Q-cell)组成,每个单元包含两个忆阻器,构成可编程电压比较器。通过重写忆阻器电导值即可更新量化边界,极大简化电路结构,实现能效与面积的双重优化。”
高精度与高鲁棒性验证
实验制备的8×8忆阻器阵列展现出优异一致性,器件间电导标准差仅为2.73 µS,验证工艺成熟度与稳定性。忆阻器的非易失性特性使ADC配置只需写入一次,断电后仍可长期保持,适用于电池受限设备。
图丨制备的忆阻器器件及阵列的实验表征(来源:Nature Communications)
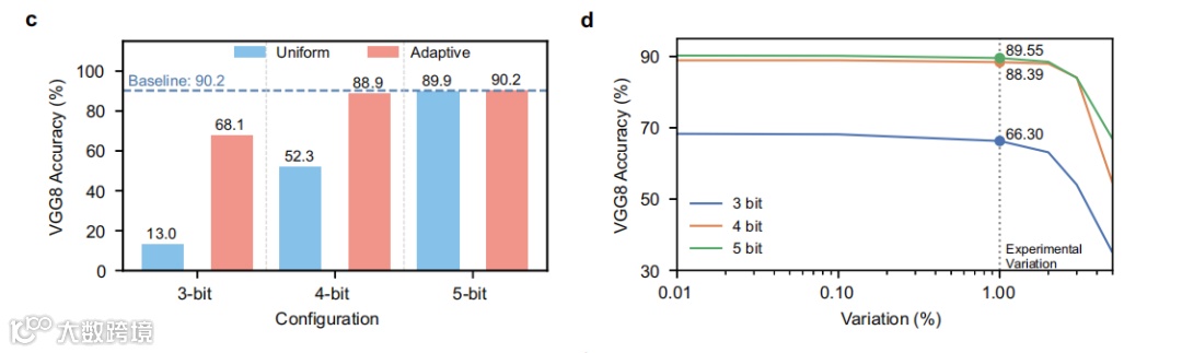
团队提出的超分辨率方法反向利用器件微小差异提升系统有效精度。在VGG8网络与CIFAR-10数据集上实现89.55%准确率,接近理想算法结果(90.2%),远超同等比特数下的均匀量化ADC,证明其在非理想硬件条件下仍支持高精度推理。
图丨8×8 忆阻器阵列的多态电导编程演示(来源:Nature Communications)
性能对比显示,该ADC在5比特精度下能量消耗仅为12.58飞焦耳/次转换,面积仅24.29平方微米,相较ISSCC/VLSI同类最优方案,功耗降低最高达15倍,面积缩小近13倍。
图丨基于自适应量化和网络性能的仿真分析(来源:Nature Communications)
图丨该研究中所设计的ADC模块相较于其他发表在ISSCC/VLSI的SOTA ADC整体展示出的优势(来源:Nature Communications)
与数字架构的差异化优势
该技术与传统数字架构形成互补:
- 计算架构:GPU/TPU基于冯·诺依曼体系,计算与存储分离,依赖高带宽并行运算,通用性强但能效较低;本方案采用模拟域存算一体,数据驱动、神经形态化,能效极高。
- 计算原理:直接利用物理定律在忆阻器阵列中完成模拟计算,减少数字逻辑开销。
- 数据特性:忆阻器为非易失性存储,断电后权重不丢失,待机功耗低,适合边缘设备即时唤醒。
- 核心突破:聚焦解决存算一体架构内部ADC的功耗与面积瓶颈。
未来发展方向
当前研究处于关键器件与电路原型验证阶段,后续需推进以下方向:
- 完成完整芯片集成与流片验证,将ADC与计算阵列、数字控制、激活函数等模块整合,评估系统级能效与鲁棒性。
- 深化自适应算法与硬件协同设计,探索片上学习机制,实现ADC根据数据流自主调整量化边界。
迈向下一代计算架构
该研究历时约两年,通过大量实验验证、版图设计与电压鲁棒性分析,系统性论证了忆阻器ADC对推动存算一体技术落地的关键意义。论文已发表于Nature Communications,题为《基于忆阻器的自适应模数转换实现高效精准的存算一体计算》。洪海桥为第一作者,刘正午博士、李灿教授和黄毅(Ngai Wong)教授为共同通讯作者。
图丨相关论文(来源:Nature Communications)
尽管GPU/TPU生态仍占主导,但物理极限使其在边缘场景面临挑战。存算一体正从器件探索迈向系统集成。随着移动端轻量大模型逐步落地,对能效的要求持续提升,存算一体技术将迎来重要发展机遇。
洪海桥认为:“存算一体短期内不会取代通用计算,但它是值得长期投入的方向。未来有望成为下一代计算架构中不可或缺的重要组成部分。”

