

之前up搜集了Starlink星链第一代的拆解资料,进行了汇总,放在了:学习一下星链相控阵天线终端(一) ,感兴趣的同学可以回顾下。今天我们继续进行星链相控阵其他部分的学习。

上图为第二代星链的射频板图片,可以看到天线阵面由圆形改为方形阵。 Gen2天线的成本分布中,大芯片预计占比60%,共16颗;小芯片LNA用了512颗。推测大芯片主要用于Ku波段上混频,有4通道相位调节并集成了混频功能,但发热较高。小芯片则是半双工波束形成器,集成了移相器、PA、LNA、开关、双工器和功分合路器,通信使用mipi接口,最高速率56MHz,支持多个设备,集成度很高。

Starlink Gen2天线的结构分为六层,分别是L1的射频板、L2的塑料垫片、L3的驱动辐射层、L4的塑料垫片、L5的寄生辐射层,还有L6的天线罩隔离层。这里,辐射层是用喷墨打印的,塑料垫片是激光切割的,天线罩则是通过注塑成型做出来的。

星链三代天线的SoC、RAM和eMMC与之前的Gen2版本是一样的。电源部分采用了分布式设计,POE电源位于一个单独的电路板上,这块PCB接收48V的POE电源,并把它降压到12V和3.3V。套片数目则进一步由16片减少至8片。

仔细观察芯片周围的射频电路可以发现,天线是双发双收设计,且馈电口并不一致。为了优化匹配,采用了分布微带枝节调匹配技术。发射部分使用威尔金森功分器来提高隔离度,而接收部分则用了普通功分器避免埋阻。

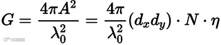
关于阵列增益:当阵元间距为λ/2时,微带单元的增益大约是π。当阵元间距在0.8到1倍λ之间时,增益会达到理论最大,但这时可能会出现副瓣。因此考虑到扫描副瓣,星链阵元间距设置为为λ/2,由阵列增益公式可以计算出星链天线增益约35dBi。
天线增益:
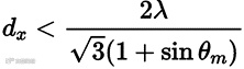
此外我们可以看到星链天线采用蜂窝阵,由以下两阵列对比公式可知,使用蜂窝排列的阵列相比矩形阵列,所需的单元数量少了13.4%,因此可以达到成本最小化。
矩形阵:
蜂窝阵:



同样,星链Gen2也配有体积小巧的二代路由器,电源板有巨大的金属散热片。


二代路由器的电源板负责AC/DC转换,提供两种电源:50V 2.4A的电源和12V 1.25A的电源。电源板使用的HR1211是一款多模式PFC和电流模式LLC组合控制器。

二代路由器的主板设计中,WAN口用于连接天线,采用SoC内置的以太网PHY,并且板上有POE元件。而外部的LAN口则由8801芯片提供PHY支持,板上没有以太网的POE元件。天线设计为3x3 MIMO,支持3发3收。

Gen2的GNSS部分依然采用采用ST公司的STA80系列,天线更改为体积更加小巧的陶瓷天线,推测相比Gen1可能会牺牲一定的定位性能。
Starlink天线系统设计精巧,天线单元与射频组件布局合理,结合机械与电子扫描实现低成本卫星通信,Starlink工程师追求plug and play的极致用户体验的精神,值得我们学习。

