海上环境下无人机组网通信应该考虑的一些问题
引言
随着无人机技术在海事领域的广泛应用,海上通信环境带来的独特挑战日益凸显。多径效应、高湿度盐雾腐蚀以及动态平台跟踪难题,都可能严重影响无人机组网通信的可靠性和稳定性。本文系统分析了这些关键问题,并提出了切实可行的解决方案,为海上无人机通信系统的设计和优化提供理论依据和实践指导。
首先,我们用一个黑板报来介绍文章的中心思想。黑板报是采用Google的nano banana pro制作的。
1.海上无线通信的特点和应对
1.1.海上环境对无线通信的影响
a) 多路径反射
在陆地环境下,虽然也存在多径效应(如树木、建筑物、山脉反射),但地面通常粗糙且布满吸波物体(树木、建筑),反射信号较弱且分散。通信可以依靠直射路径和少量反射路径。但是在海上,海面本身就像一个巨大的镜子,当无人机向船只发射信号时,会产生强烈的镜面反射。对于位于船上的地面终端来说,信号不仅通过直射路径到达,还会通过海面反射路径到达。天线收到的是直射信号和反射信号的叠加。
直射信号和反射信号经过不同路径到达,导致接收的相位不同。当反射信号和直射信号相位相反时,就会相互抵消,造成信号衰落。当相位相同时则信号增强,但是无人机和船只都在运动,它们之间的相对位置和高度不断变化,导致直射路径和反射路径的相位差也在动态变化,从而引起信号的快速、深度起伏。
而且海面并不是静止的,由于海面上有海浪,反射并不是理想的镜面反射,在某个瞬间,变成了漫反射,产生更多不同相位的信号分量。这些分量相互干涉,使得信号强度像波浪一样起伏不定,增加了接收端正确解调信号的难度。
b) 高湿度、盐雾环境的大气衰减
海水蒸发导致海面空气湿度极高,而且还有盐雾。水蒸气对微波,尤其是较高频段(如2.4GHz, 5.8GHz等常用频段)的信号有吸收作用,会造成额外的大气衰减。这种衰减和多径衰落叠加,进一步恶化链路余量。
基于此,海上天气变化快,海雾和降雨对高频信号的衰减远大于陆地干燥环境。
c) 定向天线的对准难度
在陆地上,传输宽带视频等高速数据常用高增益的定向天线,同时定向天线还有抗干扰的能力,一般来说用于无人机视频传输的定向天线的波束宽度较窄。
在陆地上,地面是静止的,定向天线对准无人机只需要考虑方位、俯仰两轴就可以了,但是在海上,船只处于六自由度的运动中(上下起伏、左右摇摆、前后俯仰),这使得定向天线的对准非常困难。
海浪导致船只摇摆,只要天线偏离几度,通信链路可能就会断开。如果使用定向天线以获得远距离的通信,则需要复杂的稳定跟踪系统来保持天线始终对准。
1.2 具体应对的措施
1.2.1 频段选择
在陆地通信中常用的高频段(2.4GHz,5.8GHz),由于频率高,波长短,绕射能力差,对抗多路径的能力就差,另外高频段的信号受大气(尤其是水蒸气)吸收的影响也越大。
对于海上通信来说,最优选的频段是U频段(300MHz~900MHz),这个频段的信号抗多路径能力强,绕射能力强,受到大气吸收的影响小。但是这个频段的可用工作带宽窄,难以支持高数据率的通信,而且这个频段已经非常拥挤,地面移动通信、专网通信、寻呼台等用的都是这个频段,容易受到来自其他设备的干扰。
对于C频段(比如5.8GHz)来说,由于抗多路径能力差,绕射能力差,而且特别容易被海面上大气中的高湿度高盐雾的水分子吸收,信号衰减非常极快,因此在海上通信的时候,不建议使用C频段。
综合考虑上述情况,海上通信中比较合适的频段是L频段(1.2GHz~1.6GHz),根据ITU-R P.676建议书,L频段在大气衰减方面明显优于C频段,特别是在高湿度环境下。相比C频段,L频段受海上水汽、海雾吸收的影响小,绕射能力也更强,在相同的功率下,传输距离远远优于C频段。
1.2.2 双天线空间分集对抗多路径干扰
由于多径效应产生的信号强弱在空间上是波动的。如果两个天线之间保持一定的距离,那么天线A处的信号环境和天线B处的信号环境就是不相关的。当直射信号和发射信号在天线A处相互抵消的时候,在天线B的位置可能处于信号叠加增强的位置。
在通信接收机中采用最大比合并技术,同时接收2个天线的信号,按照合成之后信噪比最大原则,将两个天线接收的信号相加,**在理想条件下(天线间距足够大、信道不相关且服从瑞利分布),双分支最大比合并的理论增益约为3dB。**工程上通过双天线分集接收之后,在实际海上环境中,由于信道不完全独立,信噪比通常能够提高2dB以上。
1.2.3 定向天线适应性评估
本项目中,根据和总体单位的沟通,无人机和船只的相对极位置是不确定的,无人机在作业的过程中可能出现在船体的任意位置,所以定向天线必须带伺服跟踪结构。通过稳定可靠的伺服机构,保证天线主波束对准无人机方向,同时结合闭环跟踪算法,对目标信号进行扫描,这个本身难度就比较大、成本较高。
而且,海上的风阻大,盐雾腐蚀严重,伺服平台的机械结构容易受到腐蚀导致无法正常工作,因此海上环境条件下,定向天线和伺服机构必须安装在天线罩内,且天线罩需做密封处理。如果不想处理机械磨损和腐蚀,就必须考虑相控阵天线,这样成本和难度就更大。
2 菲涅尔区的影响和无人机飞行高度
2.1 菲涅尔区
菲涅尔区是指在发射天线与接收天线之间的直线路径(视距)两侧形成的同心椭圆(或椭球)区域。根据惠更斯-菲涅尔原理,无线电波从极发射点A到接收点B,并不是只有一条直线路径,而是一种向四周不断扩散的波动。从发射天线发出的波,经过空气之后、物体,这些被触碰的点本身也会成为新的次级波源。这些从空间不同点到达接收端B的次级波,其传播路径长度不同,因此相位也不同。有些波会同相叠加,使信号增强;有些会反相抵消,使信号减弱。
菲涅尔区就是用来描述这些相互作用的空间区域。
我们通常关注的是第一菲涅尔区。根据定义,第一菲涅尔区是指所有可能的次级波路径与直接视距路径的相位差不超过半个波长(即180度)的空间点的集合。在这个区域内的障碍物会对信号造成最显著的影响。
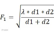
第一菲涅尔区半径的计算:
其中:
F1: 路径上某一点(障碍物)的第一菲涅尔区半径(单位:米);
λ:波长(单位:米);
d1: 从该点(障碍物)到发射端A的距离(单位:米)
d2:从该点(障碍极物)到接收端B的距离(单位:米)
d=d1+d2: A和B之间的总距离;
在A点和B点路径中点处菲涅尔区半径最大,此时d1=d2计算得到的最大第一菲涅尔区半径
无线数据链的工作频率是1400MHz,无人机和地面终端之间的距离d=20km,根据上面的公式,计算得到最大第一菲涅尔区半径F1(max)=32.7m。
在工程上,为了获得接近自由空间的传播效果,必须保证第一菲涅尔区的60%范围内没有遮挡物。这意味着在通信路径上的任何点,障碍物(如海浪)不应进入第一菲涅尔区的60%范围内,即最小净空高度不低于0.6 × F₁max = 19.6米。
考虑到地球曲率的影响,在无人机和地面终端之间的20km的中点,地球表面相对两端直线的隆起高度hearth的计算公式如下:
其中:
r:无人机到中点的距离,由于无人机和地面终端距离20km,所以r=10km
:地球有效半径,取决于我们如何看待大气折射(K因子)。当考虑标准大气折射的时候K=4/3,不考虑大气折射的时候K=1。
当气象条件变差的时候,我们取值K=1,此时 =地球物理半径6371km。
代入公式,计算得到 ≈7.85m。
同时考虑地球曲率和菲涅尔区的影响,无人机和船载上的地面终端之间的视线必须高出海平面至少7.85+19.6=27.45m。
2.2 无人机和船载天线高度的要求
假设船载天线安装在甲板上或者船舷上,天线相对平均海平面高度 大约10m,为了让无人机和船载上的地面终端的链路中点高出海面27.45m,在工程上,无人机需要飞行的高度可以用下面的公式计算得到:
中点高度
计算得到无人机的高度 =
按照上述计算结果,无人机飞行高度应该高于海平面45m。
考虑到上面计算中采用的是平均海平面高度,由于受到海浪的影响,在实际计算需要给出一个安全余量用于补偿海浪的影响,这里假设海浪高度为5m。
船只本身的摇摆会导致天线高度的变化,这种高度的变化需要无人机的高度进行补偿,可以预留3m作为补偿。
综合上述因素,无人机和地面终端之间的中点所需的视线净空高度=7.85+5+3+19.6=35.45m。
根据公式:中点高度 ,取值 =10m,计算得到无人机高度 =60.9m。
因此,按照工程算法,在船载天线高度10m的情况下,考虑海浪和船只摇晃的影响,无人机的飞行高度应该高于海平面不低于60m。
总结
本文全面分析了海上环境下无人机组网通信面临的主要挑战,包括多径效应、高湿度盐雾环境的大气衰减以及定向天线对准难题。针对这些问题,提出了频段选择策略、双天线空间分集技术和定向天线适应性评估方法等有效解决方案。通过菲涅尔区理论和地球曲率计算,推导出无人机飞行高度的工程要求,为确保通信链路的稳定可靠提供了理论依据。
码字不易,大家觉得文章不错,就安排一下一键三连吧:点赞、分享、推荐。
大家有业务咨询,技术交流的,可以添加个人微信15701068503。
"通信与导航"公众号主页有技术文章的分类合集,感兴趣的朋友可以查询。

