
概念与定义
2.核心思路
1.零假设(H₀):H0:μ1=μ2
2.方差齐性检验(Levene检验):判断两组是否具有相似的方差。若p值 ≥ 0.05,则认为方差齐,采用等方差T检验;若p值 < 0.05,则采用Welch修正的不等方差T检验。
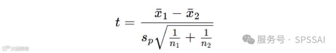
3.T值计算:
等方差假设

其中,sp 为合并标准差,n1,n2为两组样本量。
不等方差假设:

4.正态性要求:
若两组数据严重偏离正态分布(Shapiro-Wilk检验p值 < 0.05),可考虑非参数检验(如Mann-Whitney U检验)。
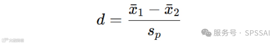
5.效应量评估:
Cohen’s d:

效应量解释:0.2(小差异),0.5(中等差异),0.8(大差异)。
Hedges’ g:对Cohen’s d的修正,适用于小样本。
适用案例:
比较两个独立群体的数值型指标(如考试成绩、身高、销售额等);
检验实验组与对照组的均值差异;
需要满足以下条件:
1.两组数据独立(无重叠);
2.分组变量为二分类(如男女、是否患病);
3.度量变量为连续型(如数值型指标)。
1.选择分析方法
step1.登录SPSSAI数据分析(www.spss-ai.com),进入主页面或左侧菜单,在「差异性分析」分组下选择「独立样本T检验」。

2.上传分析数据
step1.支持XLSX、CSV、SAV、DTA、SAS7BDAT格式,不支持老式.xls。文件第一行为列名,建议大小不超过10MB。
step2.点击后,预览数据数据无误点击上传。
变量类型:
度量变量(定量):至少1列数值型变量(如成绩、身高);
分组变量(定性):1列二分类变量(如性别、是否实验组),类别不超过2个。
数据质量
缺失值处理:系统自动忽略空值行,但建议提前清洗数据以避免结果不稳定;
异常值处理:可在“筛选样本”功能中过滤极端值;
样本量要求:每组至少需2条有效记录(建议≥30条以提高稳健性)。

3.数据拖拽开始分析
step1.在中间面板选中对应列,拖拽至右侧面板。
step2.完成拖拽后,点击“开始分析”,系统自动检测分组数、样本量、缺失值等,分析完成后,跳转至结果报告页面。
变量类要求:
将数值列(度量指标)拖到右侧「度量变量(定量)」区域;
将二分类列(如性别)拖到「分组变量(二分类)」区域;
系统自动检测变量类型,若不满足条件则提示报错。


输出结果一:正态性检验
输出Shapiro-Wilk检验的p值;
若p值 < 0.05,数据偏离正态分布,可考虑非参数检验。

输出结果二:方差齐性检验(Levene检验)
检测两组方差是否齐(p值 ≥ 0.05 表示方差齐);
输出两组的样本均值与样本量。

输出结果三:T检验结果
t值:表示两组均值差异的标准化程度;
p值:判断差异是否显著(p < 0.05 表示显著);
均值差:两组均值的具体差异;
Cohen’s d与Hedges’ g:衡量差异幅度。

输出结果四:可视化结果
均值 ± 标准误图:对比两组均值及其误差范围;
箱线图与小提琴图:展示数据分布形态与离群点。


数据质量:大量缺失值或异常值会影响结果准确性,建议提前清洗数据。
分组要求:分组变量必须为二分类,若检测到多于2个类别,系统将报错。
正态性与方差齐性:若数据严重偏离正态或方差不齐,可尝试非参数检验(Mann-Whitney U)。
效应量解读:仅看p值不足以说明差异程度,需结合Cohen’s d或Hedges’ g评估差异幅度。
后续分析:若需比较多组均值,可使用单因素方差分析(One-Way ANOVA)。
一、独立样本 t 检验
独立样本 t 检验用于比较两组独立样本的均值差异,其前提是两组数据满足以下条件:
1.数据来自正态分布的总体;
2.两组数据的方差齐性;
3.样本独立。
二、步骤
1.假设
零假设(H0):两组样本均值无差异(μA=μB)。
备择假设(H1):两组样本均值有差异(μA≠μB)。
2.抽样分布
样本数据满足正态分布,符合 t 分布条件。
3.检验方向
双尾检验(检验均值是否显著不同)。
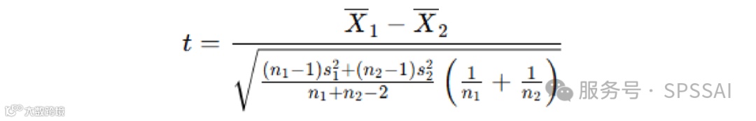
4.计算 t 值
使用以下公式计算 t 值:

其中:
s12,s22:两组样本方差;
n1,n2:两组样本量。
5.计算 p 值
根据 t 值和自由度(df=n1+n2−2),查找 t 分布表或使用统计软件计算 p 值。
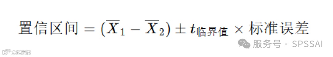
6.置信区间
计算均值差值的置信区间:

7.结论
若 p 值小于显著性水平(如 α=0.05),则拒绝零假设,认为两组样本均值存在显著差异。
# 参考文献
杨建芹. 独立样本t检验在学生学业质量评价中的应用[J]. 教育测量与评价, 2016, (2): 18-22.
张文. 以独立样本t检验为例探讨《卫生统计学》的教学设计[J]. 卫生统计学, 2022, 8(8): 10-15.
李明. 独立样本t检验的基本思想[J]. 统计学之家, 2021, 6(12): 12-15.
王芳. 如何研究数据是否存在差异性——独立样本T检验模型教程[J]. 数据分析, 2021, 12(23): 15-20.
刘强. 独立样本t检验及其案例分析[J]. CSDN博客, 2024, 9(30): 1-5.







