
概念与定义
2.核心思路
负向指标转换:将负向指标乘以-1,统一为“数值越大越好”;
编秩:对每个指标按设定规则(整秩或非整秩)进行排名;
加权合成:根据权重对秩值加权求和,生成RSR值;
分档与回归:通过Probit转换实现分档分析,并结合线性回归验证RSR分布规律性。
适用类型:
多维度综合评价:当需要将多个定量指标合并为一个整体评分时,例如企业绩效评估(产值、利润率、能耗等);
正向/负向指标混合:支持同时处理“数值越大越好”(如收益)和“数值越小越好”(如缺陷率)的指标;
灵活权重设置:支持熵权法、等权法或自定义权重。
1.选择分析方法
Step1.登录https://www.spss-ai.com;在首页或左侧菜单选择「秩和比综合评价法(RSR)」;
Step2.在右侧配置页面设置参数(如编秩方式、分档数量、权重模式);点击进入数据上传与变量配置页面。

2.上传分析数据
Step1.支持 XLSX、CSV、SAV、DTA、SAS7BDAT 五种文件类型,第一行为列名,以下为数据记录。
Step2.点击后,预览数据数据无误点击上传。
变量类型:
所有指标需为数值型,文本或分类变量需提前转换;
样本量:样本量建议≥30条,过少可能导致秩值不稳定;
缺失值处理:建议提前剔除或修正异常值,否则可能导致结果失真。

3.数据拖拽开始分析
step1.在中间面板选择并勾选,拖拽到右侧面板的对应“拖拽区”。
step2.参数设定(子类型选择)
step3.点击“开始分析”,系统后台计算后生成报告并跳转到报告页面。
变量类要求:
正向指标区:拖入“数值越大越好”的列(如收益、质量评分);
负向指标区:拖入“数值越小越好”的列(如缺陷率、污染量);
索引变量(可选):拖入对象名称列(如城市名)。
参数设定:
编秩方式:
非整秩(average):并列值取平均秩;
整秩(dense):秩值连续无间断;
自动:系统根据样本量自动选择。
分档数量:选择3~7档,用于后续分档分析;
权重模式:
熵权法(默认):基于指标离散度自动计算权重;
等权法:各指标权重相等;
自定义:手动设置权重比例(需在高级选项中配置)。


输出结果一:指标权重计算
熵值(e):反映指标离散度,值越低表示权重越高;
权重(w):基于熵值计算的各指标权重;
解读:权重越高,指标对综合评分的影响越大。

输出结果二:秩值计算
标准化值(X):原始数据的归一化结果;
秩值(R):各指标的排名值;
解读:秩值越高,对应指标表现越好

输出结果三:RSR分布表
RSR值排序:所有对象的RSR值按从小到大排列;
Probit值:用于分档的参考值;
解读:RSR值分布越集中,样本差异越小。

输出结果四:线性回归
回归方程:基于RSR与Probit的线性拟合;
R²值与p值:R²越高、p值越显著,说明RSR分布规律性越强;
解读:若拟合度高,可基于回归方程进行分档或预测。

输出结果五:拟合效果图
实际RSR曲线 vs 回归拟合曲线;
解读:若两条曲线重合度高,说明模型解释效果良好。

输出结果六:分档排阶临界值
分档数量:根据选择的档位(如3档)生成临界值;
解读:用于将样本划分为不同等级。

输出结果七:分档等级结果
对象分档:每个对象对应的档次(如第1档、第2档);
解读:便于快速区分样本的优劣水平。

数据质量:缺失值或异常值过多可能导致结果失真,建议提前处理;
样本规模:样本量建议≥30条,过少可能导致秩值不稳定;
负向指标:必须正确放置在负向区,否则结果方向会颠倒;
权重选择:熵权法仅基于数据离散度,可能与实际业务重要性不符,需结合业务需求调整;
后续分析:若结果不理想,可尝试更换指标、调整权重或分组评价。
一、 数据归一化与同趋势化
目的:将不同量纲、不同方向的指标统一为 [0,1] 区间内的标准化值。
处理方式:
正向指标:

负向指标:

注意:Xmin=min(X1j,…,Xnj)−0.0001,Xmax=max(X1j,…,Xnj)+0.0001,用于避免数据全相同的情况。
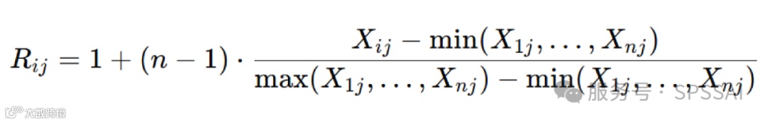
二、构造秩矩阵
输入:n 个评价对象,m 个指标,构建数据矩阵 (n×m)。
输出:秩矩阵 R=(Rij)n×m,其中 Rij 表示第 i 个对象的第 j 个指标的秩。
三、非整秩和比法
目的:避免传统RSR法中秩次化导致的定量信息损失。
公式:
效益型指标:

成本型指标:

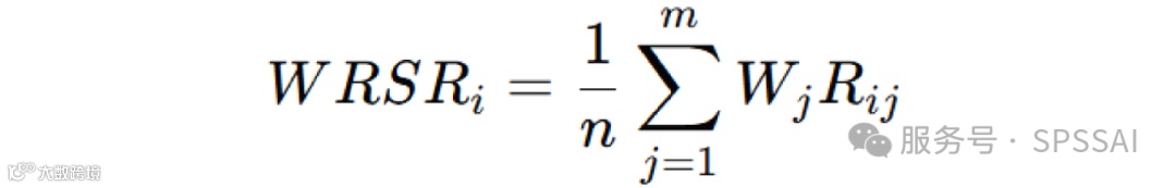
四、计算秩和比
权重相同:

权重不同:

Wj 为第 j 个指标的权重,权重和为 1。
五、回归方程拟合
输入:probit 值为自变量,RSR(或 WRSR)值为因变量。
输出:直线回归方程。
六、分档排序
步骤:根据回归方程计算的 RSR(或 WRSR)估计值,对评价对象进行分档排序。
结果:RSR 值越大,评价对象越优。
# 参考文献
1.田凤调. 秩和比法及其应用[M]. 北京: 中国统计出版社, 1993。
2.刘浩然, 汤少梁. 基于 TOPSIS 法与秩和比法的江苏省基本医疗服务均等化水平研究[J]. 中国全科医学, 2016, 19(7): 819-823. DOI:10.3969/j.issn.1007-9572.2016.07.017。
3.张文博, 王晓军. 秩和比法在医学数据评价中的应用[J]. 中国卫生统计, 2010, 27(4): 412-414。
4.李明, 陈晓红. 秩和比法在区域经济发展评价中的应用研究[J]. 统计与决策, 2012, (12): 12-15。
5.王小明, 张志刚. 秩和比法在教育评价中的应用[J]. 教育理论与实践, 2015, 35(10): 56-59







